• 文献检索
  • 文档翻译
  • 深度研究
  • 学术资讯
  • Suppr Zotero 插件Zotero 插件
  • 邀请有礼
  • 套餐&价格
  • 历史记录
应用&插件
Suppr Zotero 插件Zotero 插件浏览器插件Mac 客户端Windows 客户端微信小程序
定价
高级版会员购买积分包购买API积分包
服务
文献检索文档翻译深度研究API 文档MCP 服务
关于我们
关于 Suppr公司介绍联系我们用户协议隐私条款
关注我们

Suppr 超能文献

核心技术专利:CN118964589B侵权必究
粤ICP备2023148730 号-1Suppr @ 2026

文献检索

告别复杂PubMed语法,用中文像聊天一样搜索,搜遍4000万医学文献。AI智能推荐,让科研检索更轻松。

立即免费搜索

文件翻译

保留排版,准确专业,支持PDF/Word/PPT等文件格式,支持 12+语言互译。

免费翻译文档

深度研究

AI帮你快速写综述,25分钟生成高质量综述,智能提取关键信息,辅助科研写作。

立即免费体验

老年人大脑的神经病理学和转录组学特征。

Neuropathological and transcriptomic characteristics of the aged brain.

机构信息

Allen Institute for Brain Science, Seattle, United States.

Department of Medicine, University of Washington, Seattle, United States.

出版信息

Elife. 2017 Nov 9;6:e31126. doi: 10.7554/eLife.31126.

DOI:10.7554/eLife.31126
PMID:29120328
原文链接:https://pmc.ncbi.nlm.nih.gov/articles/PMC5679757/
Abstract

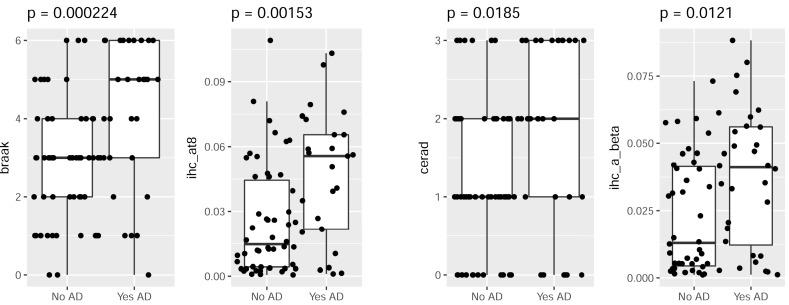
As more people live longer, age-related neurodegenerative diseases are an increasingly important societal health issue. Treatments targeting specific pathologies such as amyloid beta in Alzheimer's disease (AD) have not led to effective treatments, and there is increasing evidence of a disconnect between traditional pathology and cognitive abilities with advancing age, indicative of individual variation in resilience to pathology. Here, we generated a comprehensive neuropathological, molecular, and transcriptomic characterization of hippocampus and two regions cortex in 107 aged donors (median = 90) from the Adult Changes in Thought (ACT) study as a freely-available resource (http://aging.brain-map.org/). We confirm established associations between AD pathology and dementia, albeit with increased, presumably aging-related variability, and identify sets of co-expressed genes correlated with pathological tau and inflammation markers. Finally, we demonstrate a relationship between dementia and RNA quality, and find common gene signatures, highlighting the importance of properly controlling for RNA quality when studying dementia.

摘要

随着越来越多的人长寿,与年龄相关的神经退行性疾病是一个日益重要的社会健康问题。针对特定病理学的治疗方法,如阿尔茨海默病(AD)中的淀粉样蛋白β,并没有导致有效的治疗方法,而且越来越多的证据表明,传统病理学与年龄增长时的认知能力之间存在脱节,这表明个体对病理学的适应能力存在差异。在这里,我们对 107 名年龄在(中位数=90)的成年人变化思维(ACT)研究中的海马体和两个皮质区域进行了全面的神经病理学、分子和转录组学特征分析,作为一个免费资源(http://aging.brain-map.org/)。我们证实了 AD 病理学与痴呆之间的关联,尽管存在增加的、可能与衰老相关的变异性,并且确定了与病理性 tau 和炎症标志物相关的共同表达基因集。最后,我们证明了痴呆与 RNA 质量之间的关系,并发现了常见的基因特征,这突出了在研究痴呆症时正确控制 RNA 质量的重要性。

https://cdn.ncbi.nlm.nih.gov/pmc/blobs/8b46/5679757/740b76b703ed/elife-31126-resp-fig2.jpg
https://cdn.ncbi.nlm.nih.gov/pmc/blobs/8b46/5679757/27451e7c6af7/elife-31126-fig1.jpg
https://cdn.ncbi.nlm.nih.gov/pmc/blobs/8b46/5679757/6b75b20b0401/elife-31126-fig1-figsupp1.jpg
https://cdn.ncbi.nlm.nih.gov/pmc/blobs/8b46/5679757/712e9b1b02b5/elife-31126-fig1-figsupp2.jpg
https://cdn.ncbi.nlm.nih.gov/pmc/blobs/8b46/5679757/d858d7f619a6/elife-31126-fig2.jpg
https://cdn.ncbi.nlm.nih.gov/pmc/blobs/8b46/5679757/6604f26ef74d/elife-31126-fig2-figsupp1.jpg
https://cdn.ncbi.nlm.nih.gov/pmc/blobs/8b46/5679757/0173f4d1b4c6/elife-31126-fig2-figsupp2.jpg
https://cdn.ncbi.nlm.nih.gov/pmc/blobs/8b46/5679757/b76bd8ccd5ac/elife-31126-fig2-figsupp3.jpg
https://cdn.ncbi.nlm.nih.gov/pmc/blobs/8b46/5679757/4e8773facdc3/elife-31126-fig2-figsupp4.jpg
https://cdn.ncbi.nlm.nih.gov/pmc/blobs/8b46/5679757/e9e514ee98cd/elife-31126-fig2-figsupp5.jpg
https://cdn.ncbi.nlm.nih.gov/pmc/blobs/8b46/5679757/37071283f2f4/elife-31126-fig2-figsupp6.jpg
https://cdn.ncbi.nlm.nih.gov/pmc/blobs/8b46/5679757/87355c01baba/elife-31126-fig3.jpg
https://cdn.ncbi.nlm.nih.gov/pmc/blobs/8b46/5679757/15e1d6a159ec/elife-31126-fig4.jpg
https://cdn.ncbi.nlm.nih.gov/pmc/blobs/8b46/5679757/4dd52d9c6ae7/elife-31126-fig5.jpg
https://cdn.ncbi.nlm.nih.gov/pmc/blobs/8b46/5679757/0bfd6853625e/elife-31126-fig5-figsupp1.jpg
https://cdn.ncbi.nlm.nih.gov/pmc/blobs/8b46/5679757/fcbaceb59b11/elife-31126-fig6.jpg
https://cdn.ncbi.nlm.nih.gov/pmc/blobs/8b46/5679757/29da7f45eb9b/elife-31126-fig6-figsupp1.jpg
https://cdn.ncbi.nlm.nih.gov/pmc/blobs/8b46/5679757/13e36104db6a/elife-31126-fig6-figsupp2.jpg
https://cdn.ncbi.nlm.nih.gov/pmc/blobs/8b46/5679757/400d290357bc/elife-31126-resp-fig1.jpg
https://cdn.ncbi.nlm.nih.gov/pmc/blobs/8b46/5679757/740b76b703ed/elife-31126-resp-fig2.jpg
https://cdn.ncbi.nlm.nih.gov/pmc/blobs/8b46/5679757/27451e7c6af7/elife-31126-fig1.jpg
https://cdn.ncbi.nlm.nih.gov/pmc/blobs/8b46/5679757/6b75b20b0401/elife-31126-fig1-figsupp1.jpg
https://cdn.ncbi.nlm.nih.gov/pmc/blobs/8b46/5679757/712e9b1b02b5/elife-31126-fig1-figsupp2.jpg
https://cdn.ncbi.nlm.nih.gov/pmc/blobs/8b46/5679757/d858d7f619a6/elife-31126-fig2.jpg
https://cdn.ncbi.nlm.nih.gov/pmc/blobs/8b46/5679757/6604f26ef74d/elife-31126-fig2-figsupp1.jpg
https://cdn.ncbi.nlm.nih.gov/pmc/blobs/8b46/5679757/0173f4d1b4c6/elife-31126-fig2-figsupp2.jpg
https://cdn.ncbi.nlm.nih.gov/pmc/blobs/8b46/5679757/b76bd8ccd5ac/elife-31126-fig2-figsupp3.jpg
https://cdn.ncbi.nlm.nih.gov/pmc/blobs/8b46/5679757/4e8773facdc3/elife-31126-fig2-figsupp4.jpg
https://cdn.ncbi.nlm.nih.gov/pmc/blobs/8b46/5679757/e9e514ee98cd/elife-31126-fig2-figsupp5.jpg
https://cdn.ncbi.nlm.nih.gov/pmc/blobs/8b46/5679757/37071283f2f4/elife-31126-fig2-figsupp6.jpg
https://cdn.ncbi.nlm.nih.gov/pmc/blobs/8b46/5679757/87355c01baba/elife-31126-fig3.jpg
https://cdn.ncbi.nlm.nih.gov/pmc/blobs/8b46/5679757/15e1d6a159ec/elife-31126-fig4.jpg
https://cdn.ncbi.nlm.nih.gov/pmc/blobs/8b46/5679757/4dd52d9c6ae7/elife-31126-fig5.jpg
https://cdn.ncbi.nlm.nih.gov/pmc/blobs/8b46/5679757/0bfd6853625e/elife-31126-fig5-figsupp1.jpg
https://cdn.ncbi.nlm.nih.gov/pmc/blobs/8b46/5679757/fcbaceb59b11/elife-31126-fig6.jpg
https://cdn.ncbi.nlm.nih.gov/pmc/blobs/8b46/5679757/29da7f45eb9b/elife-31126-fig6-figsupp1.jpg
https://cdn.ncbi.nlm.nih.gov/pmc/blobs/8b46/5679757/13e36104db6a/elife-31126-fig6-figsupp2.jpg
https://cdn.ncbi.nlm.nih.gov/pmc/blobs/8b46/5679757/400d290357bc/elife-31126-resp-fig1.jpg
https://cdn.ncbi.nlm.nih.gov/pmc/blobs/8b46/5679757/740b76b703ed/elife-31126-resp-fig2.jpg

相似文献

1
Neuropathological and transcriptomic characteristics of the aged brain.老年人大脑的神经病理学和转录组学特征。
Elife. 2017 Nov 9;6:e31126. doi: 10.7554/eLife.31126.
2
Neuropathological basis of magnetic resonance images in aging and dementia.衰老和痴呆中磁共振成像的神经病理学基础。
Ann Neurol. 2008 Jan;63(1):72-80. doi: 10.1002/ana.21296.
3
Disease-related microglia heterogeneity in the hippocampus of Alzheimer's disease, dementia with Lewy bodies, and hippocampal sclerosis of aging.阿尔茨海默病、路易体痴呆和老年海马硬化症中海马内与疾病相关的小胶质细胞异质性。
Acta Neuropathol Commun. 2015 May 23;3:32. doi: 10.1186/s40478-015-0209-z.
4
Pathological markers associated with normal aging and dementia in the elderly.与老年人正常衰老和痴呆相关的病理标志物。
Ann Neurol. 1993 Oct;34(4):566-73. doi: 10.1002/ana.410340410.
5
Alzheimer's disease.阿尔茨海默病
Subcell Biochem. 2012;65:329-52. doi: 10.1007/978-94-007-5416-4_14.
6
The co-occurrence of Alzheimer's disease and Huntington's disease: a neuropathological study of 15 elderly Huntington's disease subjects.阿尔茨海默病与亨廷顿病的共病情况:对15名老年亨廷顿病患者的神经病理学研究
J Huntingtons Dis. 2014;3(2):209-17. doi: 10.3233/JHD-140111.
7
The nature and effects of cortical microvascular pathology in aging and Alzheimer's disease.衰老和阿尔茨海默病中皮质微血管病变的性质与影响。
Neurol Res. 2004 Jul;26(5):573-8. doi: 10.1179/016164104225016272.
8
Computational anatomical methods as applied to ageing and dementia.应用于衰老和痴呆症的计算解剖学方法。
Br J Radiol. 2007 Dec;80 Spec No 2:S78-91. doi: 10.1259/BJR/20005470.
9
Altered expression of COX-2 in subdivisions of the hippocampus during aging and in Alzheimer's disease: the Hisayama Study.衰老及阿尔茨海默病患者海马亚区中COX-2表达的改变:久山町研究
Dement Geriatr Cogn Disord. 2007;23(6):423-31. doi: 10.1159/000101957. Epub 2007 Apr 23.
10
RGS2 expression predicts amyloid-β sensitivity, MCI and Alzheimer's disease: genome-wide transcriptomic profiling and bioinformatics data mining.RGS2表达可预测β淀粉样蛋白敏感性、轻度认知障碍和阿尔茨海默病:全基因组转录组分析和生物信息学数据挖掘
Transl Psychiatry. 2016 Oct 4;6(10):e909. doi: 10.1038/tp.2016.179.

引用本文的文献

1
Conditional neuronal deletion of microRNA-141/200c cluster, but not microRNA-181a/b-1 cluster, is protective against experimental stroke in male mice.在雄性小鼠中,条件性敲除微小RNA-141/200c簇而非微小RNA-181a/b-1簇可对实验性中风起到保护作用。
Physiol Rep. 2025 Aug;13(15):e70505. doi: 10.14814/phy2.70505.
2
Protein kinase CK2α' as a dual modulator of neuroimmune signaling and synaptic dysfunction in Tauopathy.蛋白激酶CK2α'作为Tau蛋白病中神经免疫信号和突触功能障碍的双重调节因子。
Res Sq. 2025 Aug 7:rs.3.rs-7078069. doi: 10.21203/rs.3.rs-7078069/v1.
3
Standard Addition as a Method for Quantitative Mass Spectrometry Imaging.

本文引用的文献

1
Human whole genome genotype and transcriptome data for Alzheimer's and other neurodegenerative diseases.用于阿尔茨海默病和其他神经退行性疾病的人类全基因组基因型和转录组数据。
Sci Data. 2016 Oct 11;3:160089. doi: 10.1038/sdata.2016.89.
2
2016 Alzheimer's disease facts and figures.2016 年阿尔茨海默病事实和数据。
Alzheimers Dement. 2016 Apr;12(4):459-509. doi: 10.1016/j.jalz.2016.03.001.
3
"New Old Pathologies": AD, PART, and Cerebral Age-Related TDP-43 With Sclerosis (CARTS).“新的旧病理学”:阿尔茨海默病、进行性核上性麻痹以及伴有脑硬化的年龄相关性脑TDP-43(CARTS)
标准加入法作为一种定量质谱成像方法。
Anal Chem. 2025 Jun 10;97(22):11572-11580. doi: 10.1021/acs.analchem.5c00549. Epub 2025 May 27.
4
Inhibiting 15-PGDH blocks blood-brain barrier deterioration and protects mice from Alzheimer's disease and traumatic brain injury.抑制15-前列腺素脱氢酶可阻止血脑屏障退化,并保护小鼠免受阿尔茨海默病和创伤性脑损伤的影响。
Proc Natl Acad Sci U S A. 2025 May 27;122(21):e2417224122. doi: 10.1073/pnas.2417224122. Epub 2025 May 21.
5
Bioinformatics-driven exploration of key genes and mechanisms underlying oxidative stress in traumatic brain injury.基于生物信息学的创伤性脑损伤中氧化应激潜在关键基因及机制的探索
Front Aging Neurosci. 2025 Apr 25;17:1531317. doi: 10.3389/fnagi.2025.1531317. eCollection 2025.
6
Therapeutic target prediction for orphan diseases integrating genome-wide and transcriptome-wide association studies.整合全基因组和全转录组关联研究的罕见病治疗靶点预测
Nat Commun. 2025 Apr 18;16(1):3355. doi: 10.1038/s41467-025-58464-4.
7
Integrative network analysis reveals novel moderators of Aβ-Tau interaction in Alzheimer's disease.整合网络分析揭示了阿尔茨海默病中Aβ- Tau相互作用的新型调节因子。
Alzheimers Res Ther. 2025 Apr 2;17(1):70. doi: 10.1186/s13195-025-01705-x.
8
Brain Cytochrome P450: Navigating Neurological Health and Metabolic Regulation.脑细胞色素P450:探索神经健康与代谢调节
J Xenobiot. 2025 Mar 14;15(2):44. doi: 10.3390/jox15020044.
9
Systematic review and meta-analysis of bulk RNAseq studies in human Alzheimer's disease brain tissue.人类阿尔茨海默病脑组织中批量RNA测序研究的系统评价和荟萃分析。
Alzheimers Dement. 2025 Mar;21(3):e70025. doi: 10.1002/alz.70025.
10
A bird's eye view to the homeostatic, Alzheimer and Glioblastoma attractors.对稳态、阿尔茨海默病和胶质母细胞瘤吸引子的鸟瞰。
Heliyon. 2025 Feb 4;11(4):e42445. doi: 10.1016/j.heliyon.2025.e42445. eCollection 2025 Feb 28.
J Neuropathol Exp Neurol. 2016 Jun;75(6):482-98. doi: 10.1093/jnen/nlw033. Epub 2016 May 21.
4
The first NINDS/NIBIB consensus meeting to define neuropathological criteria for the diagnosis of chronic traumatic encephalopathy.首次由美国国立神经疾病和中风研究所(NINDS)/美国国立生物医学成像和生物工程研究所(NIBIB)召开的共识会议,旨在确定慢性创伤性脑病诊断的神经病理学标准。
Acta Neuropathol. 2016 Jan;131(1):75-86. doi: 10.1007/s00401-015-1515-z. Epub 2015 Dec 14.
5
Clinical-pathologic correlations in vascular cognitive impairment and dementia.血管性认知障碍和痴呆的临床病理相关性
Biochim Biophys Acta. 2016 May;1862(5):945-51. doi: 10.1016/j.bbadis.2015.08.019. Epub 2015 Aug 28.
6
Role of pro-inflammatory cytokines released from microglia in Alzheimer's disease.小胶质细胞释放的促炎细胞因子在阿尔茨海默病中的作用。
Ann Transl Med. 2015 Jun;3(10):136. doi: 10.3978/j.issn.2305-5839.2015.03.49.
7
limma powers differential expression analyses for RNA-sequencing and microarray studies.limma为RNA测序和微阵列研究提供差异表达分析的动力。
Nucleic Acids Res. 2015 Apr 20;43(7):e47. doi: 10.1093/nar/gkv007. Epub 2015 Jan 20.
8
RNA-Seq data mining: downregulation of NeuroD6 serves as a possible biomarker for alzheimer's disease brains.RNA测序数据挖掘:NeuroD6的下调可能是阿尔茨海默病大脑的生物标志物。
Dis Markers. 2014;2014:123165. doi: 10.1155/2014/123165. Epub 2014 Dec 8.
9
Primary age-related tauopathy (PART): a common pathology associated with human aging.原发性年龄相关性tau蛋白病(PART):一种与人类衰老相关的常见病理状态。
Acta Neuropathol. 2014 Dec;128(6):755-66. doi: 10.1007/s00401-014-1349-0. Epub 2014 Oct 28.
10
An RNA-sequencing transcriptome and splicing database of glia, neurons, and vascular cells of the cerebral cortex.大脑皮层神经胶质细胞、神经元和血管细胞的 RNA 测序转录组和剪接数据库。
J Neurosci. 2014 Sep 3;34(36):11929-47. doi: 10.1523/JNEUROSCI.1860-14.2014.