Suppr超能文献

通过人产后角质形成细胞-毛乳头相互作用建立体外毛胚模型:透明质酸的影响

Hair Germ Model In Vitro via Human Postnatal Keratinocyte-Dermal Papilla Interactions: Impact of Hyaluronic Acid.

作者信息

Kalabusheva Ekaterina, Terskikh Vasily, Vorotelyak Ekaterina

机构信息

Laboratory of Cell Biology, N.K. Koltzov Institute of Developmental Biology, 26 Vavilov St., Moscow 119334, Russia.

Department of Regenerative Medicine, Institute of Translational Medicine, Pirogov Russian National Research Medical University, 1 Ostrovitianov St., Moscow 117997, Russia.

出版信息

Stem Cells Int. 2017;2017:9271869. doi: 10.1155/2017/9271869. Epub 2017 Oct 10.

Abstract

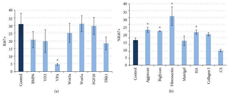
Hair follicle (HF) reconstruction is a promising field in alopecia treatment and human HF development research. Here, we combined postnatal human dermal papilla (DP) cells and skin epidermal keratinocytes (KCs) in a hanging drop culture to develop an artificial HF germ. The method is based on DP cell hair-inducing properties and KC self-organization. We evaluated two protocols of aggregate assembling. Mixed HF germ-like structures demonstrated the initiation of epithelial-mesenchymal interaction, including WNT pathway activation and expression of follicular markers. We analyzed the influence of possible DP cell niche components including soluble factors and extracellular matrix (ECM) molecules in the process of the organoid assembling and growth. Our results demonstrated that soluble factors had little impact on HF germ generation and Ki67 cell score inside the organoids although BMP6 and VD3 maintained effectively the DP identity in the monolayer culture. Aggrecan, biglycan, fibronectin, and hyaluronic acid (HA) significantly stimulated cell proliferation in DP cell monolayer culture without any effect on DP cell identity. Most of ECM compounds prevented the formation of cell aggregates while HA promoted the formation of larger organoids. In conclusion, our model could be suitable to study cell-cell and cell-niche interactions during HF reconstruction .

摘要

毛囊(HF)重建是脱发治疗和人类毛囊发育研究中一个很有前景的领域。在此,我们将产后人类真皮乳头(DP)细胞和皮肤表皮角质形成细胞(KC)在悬滴培养中进行组合,以构建人工毛囊胚。该方法基于DP细胞的毛发诱导特性和KC的自我组织能力。我们评估了两种聚集体组装方案。混合的类毛囊胚结构显示出上皮-间充质相互作用的启动,包括WNT信号通路激活和毛囊标志物的表达。我们分析了包括可溶性因子和细胞外基质(ECM)分子在内的可能的DP细胞微环境成分在类器官组装和生长过程中的影响。我们的结果表明,可溶性因子对毛囊胚生成和类器官内的Ki6细胞评分影响不大,尽管BMP6和VD3在单层培养中有效地维持了DP的特性。聚集蛋白聚糖、双糖链蛋白聚糖、纤连蛋白和透明质酸(HA)在DP细胞单层培养中显著刺激细胞增殖,而对DP细胞特性没有任何影响。大多数ECM化合物会阻止细胞聚集体的形成,而HA则促进更大类器官的形成。总之,我们的模型可能适合于研究毛囊重建过程中的细胞-细胞和细胞-微环境相互作用。

https://cdn.ncbi.nlm.nih.gov/pmc/blobs/484e/5654293/c22054afb63a/SCI2017-9271869.001.jpg

文献AI研究员

20分钟写一篇综述,助力文献阅读效率提升50倍。

立即体验

用中文搜PubMed

大模型驱动的PubMed中文搜索引擎

马上搜索

文档翻译

学术文献翻译模型,支持多种主流文档格式。

立即体验