Suppr超能文献

循环总胆红素与普通人群未来高血压风险:预防肾脏和血管终末期疾病(PREVEND)前瞻性研究和孟德尔随机化方法。

Circulating Total Bilirubin and Future Risk of Hypertension in the General Population: The Prevention of Renal and Vascular End-Stage Disease (PREVEND) Prospective Study and a Mendelian Randomization Approach.

机构信息

Translational Health Sciences, Bristol Medical School, University of Bristol, Bristol, United Kingdom

Department of Nephrology Medicine, University of Groningen and University Medical Center, Groningen, The Netherlands.

出版信息

J Am Heart Assoc. 2017 Nov 13;6(11):e006503. doi: 10.1161/JAHA.117.006503.

Abstract

BACKGROUND

Circulating total bilirubin is known to be inversely and independently associated with future risk of cardiovascular disease. However, the relationship of circulating total bilirubin with incident hypertension is uncertain. We aimed to assess the association of total bilirubin with future hypertension risk and supplemented this with a Mendelian randomization approach to investigate any causal relevance to the association.

METHODS AND RESULTS

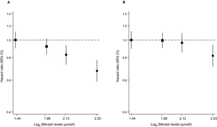
Plasma total bilirubin levels were measured at baseline in the PREVEND (Prevention of Renal and Vascular End-Stage Disease) prospective study of 3989 men and women without hypertension. Hazard ratios (95% confidence intervals) of total bilirubin with incident hypertension were assessed. New-onset hypertension was recorded in 1206 participants during a median follow-up of 10.7 years. Baseline total bilirubin was approximately log-linearly associated with hypertension risk. Age- and sex-adjusted hazard ratio for hypertension per 1-SD increase in log total bilirubin was 0.86 (0.81-0.92; <0.001), which was attenuated to 0.94 (0.88-0.99; =0.040) after further adjustment for established risk factors and other potential confounders. The association was marginally significant on further adjustment for high-sensitivity C-reactive protein (0.94; 0.88-1.00; =0.067). A genetic variant at the UGT1A1*28 locus consistently shown to be strongly associated with circulating bilirubin levels-rs6742078-was not significantly associated with blood pressure or hypertension (>0.05 for all), arguing against a strong causal association of circulating bilirubin with blood pressure.

CONCLUSIONS

The weak and inverse association of circulating total bilirubin with future hypertension risk may be driven by biases such as unmeasured confounding and/or reverse causation. Further evaluation is warranted.

摘要

背景

循环总胆红素与未来心血管疾病的风险呈负相关且独立相关。然而,循环总胆红素与新发高血压的关系尚不确定。我们旨在评估总胆红素与未来高血压风险的关系,并通过孟德尔随机化方法对此相关性进行补充分析,以调查其因果关系。

方法和结果

在 PREVEND(预防肾脏和血管终末期疾病)前瞻性研究中,对 3989 名无高血压的男性和女性在基线时测量了血浆总胆红素水平。评估了总胆红素与新发高血压的风险比(95%置信区间)。在中位随访 10.7 年后,1206 名参与者记录到新发高血压。总胆红素基线水平与高血压风险呈近似对数线性相关。每增加 1-SD 对数总胆红素,年龄和性别调整后的高血压风险比为 0.86(0.81-0.92;<0.001),进一步调整既定危险因素和其他潜在混杂因素后,风险比为 0.94(0.88-0.99;=0.040)。进一步调整高敏 C 反应蛋白(hs-CRP)后,相关性略有统计学意义(0.94;0.88-1.00;=0.067)。在该研究中,与循环胆红素水平强烈相关的 UGT1A1*28 基因座上的一个遗传变异(rs6742078)与血压或高血压无显著相关性(所有 P 值均>0.05),这表明循环胆红素与血压之间可能不存在因果关系。

结论

循环总胆红素与未来高血压风险的弱且反向关系可能是由未测量的混杂因素和/或反向因果关系等偏倚所致。需要进一步评估。

https://cdn.ncbi.nlm.nih.gov/pmc/blobs/9ea2/5721749/24003355217c/JAH3-6-e006503-g001.jpg

文献检索

告别复杂PubMed语法,用中文像聊天一样搜索,搜遍4000万医学文献。AI智能推荐,让科研检索更轻松。

立即免费搜索

文件翻译

保留排版,准确专业,支持PDF/Word/PPT等文件格式,支持 12+语言互译。

免费翻译文档

深度研究

AI帮你快速写综述,25分钟生成高质量综述,智能提取关键信息,辅助科研写作。

立即免费体验