• 文献检索
  • 文档翻译
  • 深度研究
  • 学术资讯
  • Suppr Zotero 插件Zotero 插件
  • 邀请有礼
  • 套餐&价格
  • 历史记录
应用&插件
Suppr Zotero 插件Zotero 插件浏览器插件Mac 客户端Windows 客户端微信小程序
定价
高级版会员购买积分包购买API积分包
服务
文献检索文档翻译深度研究API 文档MCP 服务
关于我们
关于 Suppr公司介绍联系我们用户协议隐私条款
关注我们

Suppr 超能文献

核心技术专利:CN118964589B侵权必究
粤ICP备2023148730 号-1Suppr @ 2026

文献检索

告别复杂PubMed语法,用中文像聊天一样搜索,搜遍4000万医学文献。AI智能推荐,让科研检索更轻松。

立即免费搜索

文件翻译

保留排版,准确专业,支持PDF/Word/PPT等文件格式,支持 12+语言互译。

免费翻译文档

深度研究

AI帮你快速写综述,25分钟生成高质量综述,智能提取关键信息,辅助科研写作。

立即免费体验

两个马卡罗尼西亚岛屿海洋生态系统的对比:偏远的塞尔瓦根斯保护区与马德拉岛的比较。

Contrasts in the marine ecosystem of two Macaronesian islands: A comparison between the remote Selvagens Reserve and Madeira Island.

作者信息

Friedlander Alan M, Ballesteros Enric, Clemente Sabrina, Gonçalves Emanuel J, Estep Andrew, Rose Paul, Sala Enric

机构信息

Pristine Seas, National Geographic Society, Washington, DC, United States of America.

Fisheries Ecology Research Lab, University of Hawai'i at Mānoa, Honolulu, Hawai'i, United States of America.

出版信息

PLoS One. 2017 Nov 14;12(11):e0187935. doi: 10.1371/journal.pone.0187935. eCollection 2017.

DOI:10.1371/journal.pone.0187935
PMID:29136657
原文链接:https://pmc.ncbi.nlm.nih.gov/articles/PMC5685627/
Abstract

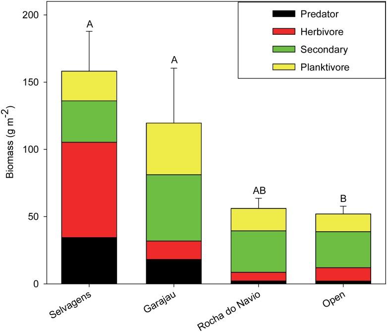
The islands of Madeira and Selvagens are less than 300 km apart but offer a clear contrast between a densely populated and highly developed island (Madeira), and a largely uninhabited and remote archipelago (Selvagens) within Macaronesia in the eastern Atlantic. The Madeira Archipelago has ~260,000 inhabitants and receives over six million visitor days annually. The Selvagens Islands Reserve is one of the oldest nature reserves in Portugal and comprises two islands and several islets, including the surrounding shelf to a depth of 200 m. Only reserve rangers and a small unit of the maritime police inhabit these islands. The benthic community around Selvagens was dominated by erect and turf algae, while the community at Madeira was comprised of crustose coralline and turf algae, sessile invertebrates, and sea urchin barrens. The sea urchin Diadema africanum was 65% more abundant at Madeira than at Selvagens. Total fish biomass was 3.2 times larger at Selvagens than at Madeira, and biomass of top predators was more than 10 times larger at Selvagens. Several commercially important species (e.g., groupers, jacks), which have been overfished throughout the region, were more common and of larger size at Selvagens than at Madeira. Important sea urchin predators (e.g., hogfishes, triggerfishes) were also in higher abundance at Selvagens compared to Madeira. The effects of fishing and other anthropogenic influences are evident around Madeira. This is in stark contrast to Selvagens, which harbors healthy benthic communities with diverse algal assemblages and high fish biomass, including an abundance of large commercially important species. The clear differences between these two island groups highlights the importance of expanding and strengthening the protection around Selvagens, which harbors one of the last intact marine ecosystems in the North Atlantic, and the need to increase management and protection around Madeira.

摘要

马德拉群岛和塞尔瓦根斯群岛相距不到300公里,但形成了鲜明对比:一个是人口密集且高度发达的岛屿(马德拉),另一个是位于东大西洋马卡罗尼西亚地区、基本无人居住且偏远的群岛(塞尔瓦根斯)。马德拉群岛有大约26万居民,每年接待游客超过600万人次。塞尔瓦根斯群岛保护区是葡萄牙最古老的自然保护区之一,由两个岛屿和几个小岛组成,包括周边深度达200米的大陆架。只有保护区护林员和一小队海上警察居住在这些岛屿上。塞尔瓦根斯周围的底栖生物群落以直立藻类和草皮藻类为主,而马德拉的群落则由壳状珊瑚藻、草皮藻类、固着无脊椎动物和海胆荒漠组成。马德拉的非洲冠海胆数量比塞尔瓦根斯多65%。塞尔瓦根斯的鱼类总生物量是马德拉的3.2倍,顶级捕食者的生物量在塞尔瓦根斯比马德拉大10倍以上。一些在整个地区都被过度捕捞的具有商业重要性的物种(如石斑鱼、鲹科鱼)在塞尔瓦根斯比在马德拉更常见且体型更大。重要的海胆捕食者(如猪齿鱼、扳机鱼)在塞尔瓦根斯的数量也比马德拉多。捕捞和其他人为影响在马德拉周围的影响很明显。这与塞尔瓦根斯形成了鲜明对比,塞尔瓦根斯拥有健康的底栖生物群落,藻类组合多样,鱼类生物量高,包括大量具有商业重要性的大型物种。这两个岛屿群之间的明显差异凸显了扩大和加强对塞尔瓦根斯周围保护的重要性,塞尔瓦根斯拥有北大西洋最后一个完整的海洋生态系统之一,同时也凸显了加强马德拉周围管理和保护的必要性。

https://cdn.ncbi.nlm.nih.gov/pmc/blobs/8d6a/5685627/307b51ccbc26/pone.0187935.g010.jpg
https://cdn.ncbi.nlm.nih.gov/pmc/blobs/8d6a/5685627/eaad1ebdb8ae/pone.0187935.g001.jpg
https://cdn.ncbi.nlm.nih.gov/pmc/blobs/8d6a/5685627/0839a1936fd3/pone.0187935.g002.jpg
https://cdn.ncbi.nlm.nih.gov/pmc/blobs/8d6a/5685627/d6241ab6e600/pone.0187935.g003.jpg
https://cdn.ncbi.nlm.nih.gov/pmc/blobs/8d6a/5685627/aa2a7b5cc4e4/pone.0187935.g004.jpg
https://cdn.ncbi.nlm.nih.gov/pmc/blobs/8d6a/5685627/f3a50eab0c8e/pone.0187935.g005.jpg
https://cdn.ncbi.nlm.nih.gov/pmc/blobs/8d6a/5685627/32e7debabf69/pone.0187935.g006.jpg
https://cdn.ncbi.nlm.nih.gov/pmc/blobs/8d6a/5685627/ee75012832db/pone.0187935.g007.jpg
https://cdn.ncbi.nlm.nih.gov/pmc/blobs/8d6a/5685627/ef1e18d8bdea/pone.0187935.g008.jpg
https://cdn.ncbi.nlm.nih.gov/pmc/blobs/8d6a/5685627/42a888d6aeae/pone.0187935.g009.jpg
https://cdn.ncbi.nlm.nih.gov/pmc/blobs/8d6a/5685627/307b51ccbc26/pone.0187935.g010.jpg
https://cdn.ncbi.nlm.nih.gov/pmc/blobs/8d6a/5685627/eaad1ebdb8ae/pone.0187935.g001.jpg
https://cdn.ncbi.nlm.nih.gov/pmc/blobs/8d6a/5685627/0839a1936fd3/pone.0187935.g002.jpg
https://cdn.ncbi.nlm.nih.gov/pmc/blobs/8d6a/5685627/d6241ab6e600/pone.0187935.g003.jpg
https://cdn.ncbi.nlm.nih.gov/pmc/blobs/8d6a/5685627/aa2a7b5cc4e4/pone.0187935.g004.jpg
https://cdn.ncbi.nlm.nih.gov/pmc/blobs/8d6a/5685627/f3a50eab0c8e/pone.0187935.g005.jpg
https://cdn.ncbi.nlm.nih.gov/pmc/blobs/8d6a/5685627/32e7debabf69/pone.0187935.g006.jpg
https://cdn.ncbi.nlm.nih.gov/pmc/blobs/8d6a/5685627/ee75012832db/pone.0187935.g007.jpg
https://cdn.ncbi.nlm.nih.gov/pmc/blobs/8d6a/5685627/ef1e18d8bdea/pone.0187935.g008.jpg
https://cdn.ncbi.nlm.nih.gov/pmc/blobs/8d6a/5685627/42a888d6aeae/pone.0187935.g009.jpg
https://cdn.ncbi.nlm.nih.gov/pmc/blobs/8d6a/5685627/307b51ccbc26/pone.0187935.g010.jpg

相似文献

1
Contrasts in the marine ecosystem of two Macaronesian islands: A comparison between the remote Selvagens Reserve and Madeira Island.两个马卡罗尼西亚岛屿海洋生态系统的对比:偏远的塞尔瓦根斯保护区与马德拉岛的比较。
PLoS One. 2017 Nov 14;12(11):e0187935. doi: 10.1371/journal.pone.0187935. eCollection 2017.
2
A 15-Year Retrospective Review of Ciguatera in the Madeira Islands (North-East Atlantic, Portugal).北大西洋葡萄牙马德拉群岛 15 年雪卡毒素中毒回顾性研究
Toxins (Basel). 2023 Oct 27;15(11):630. doi: 10.3390/toxins15110630.
3
New Insights into the Occurrence and Toxin Profile of Ciguatoxins in Selvagens Islands (Madeira, Portugal).塞尔瓦斯群岛(葡萄牙马德拉群岛)雪卡毒素的发生和毒素特征的新见解。
Toxins (Basel). 2018 Dec 7;10(12):524. doi: 10.3390/toxins10120524.
4
Limited differences in fish and benthic communities and possible cascading effects inside and outside a protected marine area in Sagres (SW Portugal).葡萄牙西南部萨格里什一个受保护海域内外鱼类和底栖生物群落的有限差异及可能的级联效应
Mar Environ Res. 2016 Mar;114:12-23. doi: 10.1016/j.marenvres.2015.12.003. Epub 2015 Dec 12.
5
Consistent multi-level trophic effects of marine reserve protection across northern New Zealand.新西兰北部海洋保护区保护带来的多层次营养效应具有一致性。
PLoS One. 2017 May 24;12(5):e0177216. doi: 10.1371/journal.pone.0177216. eCollection 2017.
6
Marine Biodiversity in Juan Fernández and Desventuradas Islands, Chile: Global Endemism Hotspots.智利胡安·费尔南德斯群岛和德斯温图拉达斯群岛的海洋生物多样性:全球特有物种热点地区。
PLoS One. 2016 Jan 6;11(1):e0145059. doi: 10.1371/journal.pone.0145059. eCollection 2016.
7
An Update on Ciguatoxins and CTX-like Toxicity in Fish from Different Trophic Levels of the Selvagens Islands (NE Atlantic, Madeira, Portugal).塞尔瓦斯群岛(东北大西洋,马德拉,葡萄牙)不同营养级鱼类中的雪卡毒素和类似 CTX 毒性的最新研究进展。
Toxins (Basel). 2021 Aug 20;13(8):580. doi: 10.3390/toxins13080580.
8
Abiotic proxies for predictive mapping of nearshore benthic assemblages: implications for marine spatial planning.用于预测近岸底栖生物组合的非生物替代指标:对海洋空间规划的影响。
Ecol Appl. 2017 Mar;27(2):603-618. doi: 10.1002/eap.1469.
9
Before and after a disease outbreak: Tracking a keystone species recovery from a mass mortality event.疾病爆发前后:追踪一个关键物种从大规模死亡事件中的恢复情况。
Mar Environ Res. 2020 Apr;156:104905. doi: 10.1016/j.marenvres.2020.104905. Epub 2020 Feb 8.
10
Restructuring of the 'Macaronesia' biogeographic unit: A marine multi-taxon biogeographical approach.重构“马卡罗尼西亚”生物地理单元:一种海洋多分类群生物地理方法。
Sci Rep. 2019 Nov 5;9(1):15792. doi: 10.1038/s41598-019-51786-6.

引用本文的文献

1
Assessing climatic conditions and biotic interactions shaping the success of Cystoseira foeniculacea early-life stages.评估影响丝状囊链藻早期生命阶段成功的气候条件和生物相互作用。
J Phycol. 2024 Dec;60(6):1485-1497. doi: 10.1111/jpy.13516. Epub 2024 Oct 23.
2
A 15-Year Retrospective Review of Ciguatera in the Madeira Islands (North-East Atlantic, Portugal).北大西洋葡萄牙马德拉群岛 15 年雪卡毒素中毒回顾性研究
Toxins (Basel). 2023 Oct 27;15(11):630. doi: 10.3390/toxins15110630.
3
An Update on Ciguatoxins and CTX-like Toxicity in Fish from Different Trophic Levels of the Selvagens Islands (NE Atlantic, Madeira, Portugal).

本文引用的文献

1
Marine reserves lag behind wilderness in the conservation of key functional roles.海洋保护区在保护关键功能角色方面落后于荒野。
Nat Commun. 2016 Jun 29;7:12000. doi: 10.1038/ncomms12000.
2
Biogeography of Mediterranean Hotspot Biodiversity: Re-Evaluating the 'Tertiary Relict' Hypothesis of Macaronesian Laurel Forests.地中海热点生物多样性的生物地理学:重新评估马卡罗尼西亚月桂树林的“第三纪残遗种”假说。
PLoS One. 2015 Jul 14;10(7):e0132091. doi: 10.1371/journal.pone.0132091. eCollection 2015.
3
Coexistence of low coral cover and high fish biomass at Farquhar Atoll, Seychelles.
塞尔瓦斯群岛(东北大西洋,马德拉,葡萄牙)不同营养级鱼类中的雪卡毒素和类似 CTX 毒性的最新研究进展。
Toxins (Basel). 2021 Aug 20;13(8):580. doi: 10.3390/toxins13080580.
4
New Insights into the Occurrence and Toxin Profile of Ciguatoxins in Selvagens Islands (Madeira, Portugal).塞尔瓦斯群岛(葡萄牙马德拉群岛)雪卡毒素的发生和毒素特征的新见解。
Toxins (Basel). 2018 Dec 7;10(12):524. doi: 10.3390/toxins10120524.
塞舌尔的法夸尔环礁,低珊瑚覆盖率与高鱼类生物量共存。
PLoS One. 2014 Jan 29;9(1):e87359. doi: 10.1371/journal.pone.0087359. eCollection 2014.
4
Microbiological and mycological beach sand quality in a volcanic environment: Madeira archipelago, Portugal.微生物和真菌学的海滩沙滩质量在火山环境:马德拉群岛,葡萄牙。
Sci Total Environ. 2013 Sep 1;461-462:469-79. doi: 10.1016/j.scitotenv.2013.05.025. Epub 2013 Jun 7.
5
Successful eradication of the European rabbit (Oryctolagus cuniculus) and house mouse (Mus musculus) from the island of Selvagem Grande (Macaronesian archipelago), in the Eastern Atlantic.在东大西洋的塞尔瓦根格兰德岛(马卡罗尼西亚群岛)成功根除欧洲野兔(穴兔)和家鼠(小家鼠)。
Integr Zool. 2010 Mar;5(1):70-83. doi: 10.1111/j.1749-4877.2010.00186.x.
6
Designing marine reserve networks for both conservation and fisheries management.设计兼顾保护和渔业管理的海洋保护区网络。
Proc Natl Acad Sci U S A. 2010 Oct 26;107(43):18286-93. doi: 10.1073/pnas.0906473107. Epub 2010 Mar 3.
7
The key role of the sea urchin Diadema aff. antillarum in controlling macroalgae assemblages throughout the Canary Islands (eastern subtropical Atlantic): an spatio-temporal approach.海胆Diadema aff. antillarum在整个加那利群岛(亚热带大西洋东部)控制大型藻类群落中的关键作用:一种时空研究方法。
Mar Environ Res. 2008 Aug;66(2):259-70. doi: 10.1016/j.marenvres.2008.03.002. Epub 2008 Mar 30.
8
Shifting baselines, local impacts, and global change on coral reefs.珊瑚礁的基线变化、局部影响和全球变化
PLoS Biol. 2008 Feb;6(2):e54. doi: 10.1371/journal.pbio.0060054.
9
The origins of intensive marine fishing in medieval Europe: the English evidence.中世纪欧洲海洋密集捕捞的起源:英国的证据。
Proc Biol Sci. 2004 Dec 7;271(1556):2417-21. doi: 10.1098/rspb.2004.2885.
10
Historical overfishing and the recent collapse of coastal ecosystems.历史性的过度捕捞与近期沿海生态系统的崩溃。
Science. 2001 Jul 27;293(5530):629-37. doi: 10.1126/science.1059199.