Instituto de Química de São Carlos, Universidade de São Paulo, Av. Trabalhador São Carlense, 400, São Carlos 13566-590, SP, Brazil.
Institute of Plant Biology and Biotechnology (IBBP), Westfälische Wilhelms-Universität Münster, Schlossplatz 8, 48143 Münster, Germany.
Molecules. 2017 Nov 16;22(11):1987. doi: 10.3390/molecules22111987.
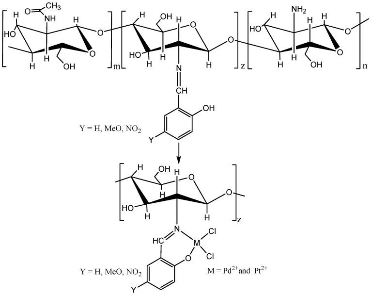
In an attempt to enhance chitosan biological activities, biopolymeric Schiff bases of chitosan and different salicylaldehydes and their palladium(II) and platinum(II) complexes were synthesized and tested. The chemical structures of these derivatives were characterized using ¹H-NMR, FTIR spectroscopy and XPRD. Thermal analysis was done through TGA/DTG-DTA. Electronic absorption spectra and surface morphologies were analyzed by SEM-EDAX. Chitosan and its derivatives were evaluated for their in vitro antimicrobial activity against two common bacterial and fungal plant pathogens pv. and , respectively, and for their antitumor activity against a human breast cancer cell line (MCF-7). It was found that, compared to the nonmodified chitosan, chitosan modified with Schiff bases and their complexes was highly toxic against the MCF-7 cell line and had antibacterial effects against . However, the modified chitosan derivatives had less pronounced antifungal effects against compared to the nonmodified chitosan, suggesting different modes of action.
为了提高壳聚糖的生物活性,合成了壳聚糖与不同水杨醛的生物聚合希夫碱及其钯(II)和铂(II)配合物,并对其进行了测试。这些衍生物的化学结构通过 ¹H-NMR、FTIR 光谱和 XPRD 进行了表征。通过 TGA/DTG-DTA 进行了热分析。通过 SEM-EDAX 分析了电子吸收光谱和表面形态。评估了壳聚糖及其衍生物对两种常见细菌和真菌植物病原体 pv. 和 的体外抗菌活性,以及对人乳腺癌细胞系 (MCF-7) 的抗肿瘤活性。结果发现,与未改性壳聚糖相比,用希夫碱及其配合物改性的壳聚糖对 MCF-7 细胞系具有高毒性,并且对 具有抗菌作用。然而,与未改性壳聚糖相比,改性壳聚糖衍生物对 的抗真菌作用不那么明显,这表明它们具有不同的作用模式。