Suppr超能文献

南极半岛西部细菌群落对浮游植物衍生溶解有机物的季节性变化响应

Seasonal Shifts in Bacterial Community Responses to Phytoplankton-Derived Dissolved Organic Matter in the Western Antarctic Peninsula.

作者信息

Luria Catherine M, Amaral-Zettler Linda A, Ducklow Hugh W, Repeta Daniel J, Rhyne Andrew L, Rich Jeremy J

机构信息

Department of Ecology and Evolutionary Biology, Brown University, Providence, RI, United States.

Marine Biological Laboratory, Josephine Bay Paul Center, Woods Hole, MA, United States.

出版信息

Front Microbiol. 2017 Nov 3;8:2117. doi: 10.3389/fmicb.2017.02117. eCollection 2017.

Abstract

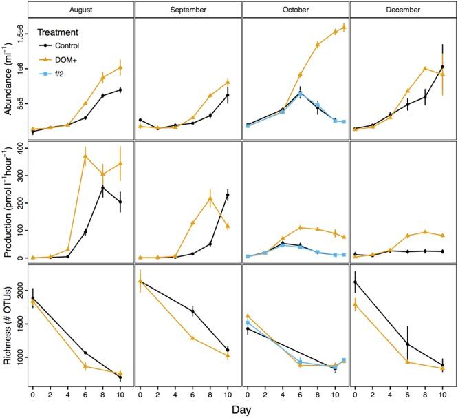
Bacterial consumption of dissolved organic matter (DOM) drives much of the movement of carbon through the oceanic food web and the global carbon cycle. Understanding complex interactions between bacteria and marine DOM remains an important challenge. We tested the hypothesis that bacterial growth and community succession would respond differently to DOM additions due to seasonal changes in phytoplankton abundance in the environment. Four mesocosm experiments were conducted that spanned the spring transitional period (August-December 2013) in surface waters of the Western Antarctic Peninsula (WAP). Each mesocosm consisted of nearshore surface seawater (50 L) incubated in the laboratory for 10 days. The addition of DOM, in the form of cell-free exudates extracted from diatom cultures led to changes in bacterial abundance, production, and community composition. The timing of each mesocosm experiment (i.e., late winter vs. late spring) influenced the magnitude and direction of bacterial changes. For example, the same DOM treatment applied at different times during the season resulted in different levels of bacterial production and different bacterial community composition. There was a mid-season shift from Collwelliaceae to having the greatest relative abundance after incubation. This shift corresponded to a modest but significant increase in the initial relative abundance of in the nearshore seawater used to set up experiments. This finding supports a new hypothesis that starting community composition, through priority effects, influenced the trajectory of community succession in response to DOM addition. As strong inter-annual variability and long-term climate change may shift the timing of WAP phytoplankton blooms, and the corresponding production of DOM exudates, this study suggests a mechanism by which different seasonal successional patterns in bacterial communities could occur.

摘要

细菌对溶解有机物(DOM)的消耗推动了碳在海洋食物网和全球碳循环中的大部分流动。理解细菌与海洋DOM之间的复杂相互作用仍然是一项重大挑战。我们检验了这样一个假设,即由于环境中浮游植物丰度的季节性变化,细菌生长和群落演替对添加DOM的反应会有所不同。在南极半岛西部(WAP)表层水域进行了四项中尺度生态模拟实验,实验跨越了春季过渡时期(2013年8月至12月)。每个中尺度生态模拟实验装置由在实验室中培养10天的近岸表层海水(50升)组成。以从硅藻培养物中提取的无细胞渗出物形式添加DOM,导致细菌丰度、产量和群落组成发生变化。每个中尺度生态模拟实验的时间(即冬末与春末)影响了细菌变化的幅度和方向。例如,在季节中的不同时间进行相同的DOM处理,会导致不同水平的细菌产量和不同的细菌群落组成。在培养后,有一个从科氏菌科到相对丰度最高的中期转变。这种转变对应于用于设置实验的近岸海水中初始相对丰度的适度但显著增加。这一发现支持了一个新的假设,即起始群落组成通过优先效应影响了响应DOM添加的群落演替轨迹。由于强烈的年际变化和长期气候变化可能会改变WAP浮游植物水华的时间以及相应的DOM渗出物产量,本研究提出了一种细菌群落不同季节演替模式可能发生的机制。

https://cdn.ncbi.nlm.nih.gov/pmc/blobs/08fe/5675858/487746b7cd88/fmicb-08-02117-g001.jpg

文献AI研究员

20分钟写一篇综述,助力文献阅读效率提升50倍。

立即体验

用中文搜PubMed

大模型驱动的PubMed中文搜索引擎

马上搜索

文档翻译

学术文献翻译模型,支持多种主流文档格式。

立即体验