Suppr超能文献

添加氮素会改变幼苗不同器官的化学计量比和生长速率。

Nitrogen Addition Changes the Stoichiometry and Growth Rate of Different Organs in Seedlings.

作者信息

Jing Hang, Zhou Haoxiang, Wang Guoliang, Xue Sha, Liu Guobin, Duan Mengcheng

机构信息

State Key Laboratory of Soil Erosion and Dryland Farming on the Loess Plateau, Institute of Soil and Water Conservation, Northwest A&F University, Yangling, China.

Institute of Soil and Water Conservation, Chinese Academy of Sciences and Ministry of Water Resources, Yangling, China.

出版信息

Front Plant Sci. 2017 Nov 7;8:1922. doi: 10.3389/fpls.2017.01922. eCollection 2017.

Abstract

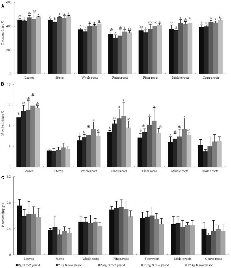
Nitrogen (N) deposition could influence plant stoichiometry and growth rate and thus alter the structure and function of the ecosystem. However, the mechanism by which N deposition changes the stoichiometry and relative growth rate (RGR) of plant organs, especially roots with different diameters, is unclear. We created a gradient of N availability (0-22.4 g N m year) for seedlings for 3 years and examined changes in the carbon (C):N:phosphorus (P) ratios and RGRs of the leaves, stems, and roots with four diameter classes (finest roots, <0.5 mm; finer roots, 0.5-1 mm; middle roots, 1-2 mm; and coarse roots, >2 mm). (1) N addition significantly increased the C and N contents of the leaves and whole roots, the C content of the stems, the N:P ratios of the leaves and stems, and the C:P ratio of the whole roots. (2) In the root system, the C:N ratio of the finest roots and the C:P ratios of the finest and finer roots significantly changed with N addition. The N:P ratios of the finest, finer, and middle roots significantly increased with increasing amount of N added. The stoichiometric responses of the roots were more sensitive to N addition than those of the other organs (3) The RGR of all the organs significantly increased at low N addition levels (2.8-11.2 g N m year) but decreased at high N addition levels (22.4 g N m year). (4) The RGRs of the whole seedlings and leaves were not significantly correlated with their N:P ratios at low and high N addition levels. By contrast, the RGRs of the stems and roots showed a significantly positive correlation with their own N:P ratio only at low N addition level. Addition of N affected plant growth by altering the contents of C and N; the ratios of C, N, and P; and the RGRs of the organs. RGR is correlated with the N:P ratios of the stems and roots at low N addition level but not at high N addition level. This finding is inconsistent with the growth rate hypothesis.

摘要

氮(N)沉降会影响植物的化学计量特征和生长速率,进而改变生态系统的结构和功能。然而,氮沉降改变植物器官,尤其是不同直径根系的化学计量特征和相对生长速率(RGR)的机制尚不清楚。我们为幼苗设置了3年的氮有效性梯度(0 - 22.4 g N m² 年),并研究了四个直径等级(最细根,<0.5 mm;较细根,0.5 - 1 mm;中等根,1 - 2 mm;粗根,>2 mm)的叶片、茎和根的碳(C):氮(N):磷(P)比率以及相对生长速率的变化。(1)添加氮显著增加了叶片和整个根系的碳和氮含量、茎的碳含量、叶片和茎的氮:磷比率以及整个根系的碳:磷比率。(2)在根系中,最细根的碳:氮比率以及最细根和较细根的碳:磷比率随氮添加量显著变化。最细根、较细根和中等根的氮:磷比率随添加氮量的增加而显著增加。根系的化学计量响应比其他器官对氮添加更敏感。(3)在低氮添加水平(2.8 - 11.2 g N m² 年)下,所有器官的相对生长速率显著增加,但在高氮添加水平(22.4 g N m² 年)下则降低。(4)在低氮和高氮添加水平下,整个幼苗和叶片的相对生长速率与它们的氮:磷比率没有显著相关性。相比之下,仅在低氮添加水平下,茎和根的相对生长速率与其自身的氮:磷比率呈显著正相关。添加氮通过改变碳和氮的含量、碳、氮和磷的比率以及器官的相对生长速率来影响植物生长。在低氮添加水平下,相对生长速率与茎和根的氮:磷比率相关,但在高氮添加水平下则不相关。这一发现与生长速率假说不一致。

https://cdn.ncbi.nlm.nih.gov/pmc/blobs/fae4/5681934/d69614e300eb/fpls-08-01922-g001.jpg

文献AI研究员

20分钟写一篇综述,助力文献阅读效率提升50倍。

立即体验

用中文搜PubMed

大模型驱动的PubMed中文搜索引擎

马上搜索

文档翻译

学术文献翻译模型,支持多种主流文档格式。

立即体验