Suppr超能文献

钴基费托合成催化剂活化过程中的X射线物理化学成像

X-ray physico-chemical imaging during activation of cobalt-based Fischer-Tropsch synthesis catalysts.

作者信息

Beale Andrew M, Jacques Simon D M, Di Michiel Marco, Mosselmans J Frederick W, Price Stephen W T, Senecal Pierre, Vamvakeros Antonios, Paterson James

机构信息

Department of Chemistry, UCL, 20 Gordon Street, London WC1H 0AJ, UK

Research Complex at Harwell, Harwell Science and Innovation Campus, Rutherford Appleton Laboratory, Didcot, Oxon OX11 0FA, UK.

出版信息

Philos Trans A Math Phys Eng Sci. 2018 Jan 13;376(2110). doi: 10.1098/rsta.2017.0057.

Abstract

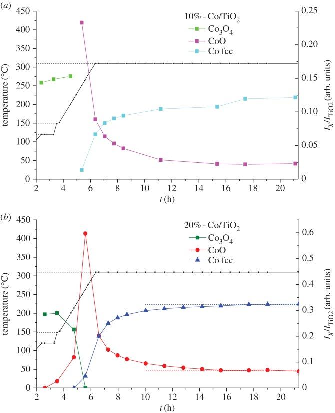
The imaging of catalysts and other functional materials under reaction conditions has advanced significantly in recent years. The combination of the computed tomography (CT) approach with methods such as X-ray diffraction (XRD), X-ray fluorescence (XRF) and X-ray absorption near-edge spectroscopy (XANES) now enables local chemical and physical state information to be extracted from within the interiors of intact materials which are, by accident or design, inhomogeneous. In this work, we follow the phase evolution during the initial reduction step(s) to form Co metal, for Co-containing particles employed as Fischer-Tropsch synthesis (FTS) catalysts; firstly, working at small length scales (approx. micrometre spatial resolution), a combination of sample size and density allows for transmission of comparatively low energy signals enabling the recording of 'multimodal' tomography, i.e. simultaneous XRF-CT, XANES-CT and XRD-CT. Subsequently, we show high-energy XRD-CT can be employed to reveal extent of reduction and uniformity of crystallite size on millimetre-sized TiO trilobes. In both studies, the CoO phase is seen to persist or else evolve under particular operating conditions and we speculate as to why this is observed.This article is part of a discussion meeting issue 'Providing sustainable catalytic solutions for a rapidly changing world'.

摘要

近年来,在反应条件下对催化剂及其他功能材料的成像技术有了显著进展。计算机断层扫描(CT)方法与X射线衍射(XRD)、X射线荧光(XRF)和X射线吸收近边光谱(XANES)等方法相结合,现在能够从完整材料内部提取局部化学和物理状态信息,这些材料偶然或有意地是不均匀的。在这项工作中,我们追踪了用于费托合成(FTS)催化剂的含钴颗粒在最初还原步骤中形成钴金属的相演变过程;首先,在小尺度(约微米空间分辨率)下工作,样品尺寸和密度的组合允许传输相对低能量的信号,从而能够记录“多模态”断层扫描,即同时进行XRF-CT、XANES-CT和XRD-CT。随后,我们展示了高能XRD-CT可用于揭示毫米级TiO三叶形结构上的还原程度和晶粒尺寸的均匀性。在这两项研究中,都观察到CoO相在特定操作条件下持续存在或发生演变,我们推测了出现这种情况的原因。本文是“为快速变化的世界提供可持续催化解决方案”讨论会议文集的一部分。

https://cdn.ncbi.nlm.nih.gov/pmc/blobs/a793/5719219/2d8aebba2122/rsta20170057-g1.jpg

文献AI研究员

20分钟写一篇综述,助力文献阅读效率提升50倍。

立即体验

用中文搜PubMed

大模型驱动的PubMed中文搜索引擎

马上搜索

文档翻译

学术文献翻译模型,支持多种主流文档格式。

立即体验