Suppr超能文献

瞬时弹性成像、超音速剪切成像和ARFI成像在预测非酒精性脂肪性肝病纤维化方面的前瞻性比较。

Prospective comparison among transient elastography, supersonic shear imaging, and ARFI imaging for predicting fibrosis in nonalcoholic fatty liver disease.

作者信息

Lee Myoung Seok, Bae Jeong Mo, Joo Sae Kyung, Woo Hyunsik, Lee Dong Hyeon, Jung Yong Jin, Kim Byeong Gwan, Lee Kook Lae, Kim Won

机构信息

Department of Radiology, Seoul National University College of Medicine, Seoul Metropolitan Government Boramae Medical Center, Seoul, Korea.

Department of Pathology, Seoul National University College of Medicine, Seoul Metropolitan Government Boramae Medical Center, Seoul, Korea.

出版信息

PLoS One. 2017 Nov 27;12(11):e0188321. doi: 10.1371/journal.pone.0188321. eCollection 2017.

Abstract

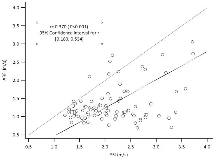
The diagnostic performance of supersonic shear imaging (SSI) in comparison with those of transient elastography (TE) and acoustic radiation force impulse imaging (ARFI) for staging fibrosis in nonalcoholic fatty liver disease (NAFLD) patients has not been fully assessed, especially in Asian populations with relatively lean NAFLD compared to white populations. Thus, we focused on comparing the diagnostic performances of TE, ARFI, and SSI for staging fibrosis in a head-to-head manner, and identifying the clinical, anthropometric, biochemical, and histological features which might affect liver stiffness measurement (LSM) in our prospective biopsy-proven NAFLD cohort. In this study, ninety-four patients with biopsy-proven NAFLD were included prospectively. Liver stiffness was measured using TE, SSI, and ARFI within 1 month of liver biopsy. The diagnostic performance for staging fibrosis was assessed using receiver operating characteristic (ROC) analysis. Anthropometric data were evaluated as covariates influencing LSM by regression analyses. Liver stiffness correlated with fibrosis stage (p < 0.05); the area under the ROC curve of TE (kPa), SSI (kPa), and ARFI (m/s) were as follows: 0.757, 0.759, and 0.657 for significant fibrosis and 0.870, 0.809, and 0.873 for advanced fibrosis. Anthropometric traits were significant confounders affecting SSI, while serum liver injury markers significantly confounded TE and ARFI. In conclusion, the LSM methods had similar diagnostic performance for staging fibrosis in patients with NAFLD. Pre-LSM anthropometric evaluation may help predict the reliability of SSI.

摘要

与瞬时弹性成像(TE)和声学辐射力脉冲成像(ARFI)相比,超声剪切波弹性成像(SSI)在非酒精性脂肪性肝病(NAFLD)患者肝纤维化分期中的诊断性能尚未得到充分评估,尤其是在与白种人相比相对较瘦的亚洲NAFLD人群中。因此,我们集中精力以直接比较的方式对比TE、ARFI和SSI在肝纤维化分期中的诊断性能,并在我们经活检证实的NAFLD前瞻性队列中确定可能影响肝脏硬度测量(LSM)的临床、人体测量学、生化和组织学特征。在本研究中,前瞻性纳入了94例经活检证实的NAFLD患者。在肝活检后1个月内使用TE、SSI和ARFI测量肝脏硬度。使用受试者操作特征(ROC)分析评估肝纤维化分期的诊断性能。通过回归分析将人体测量数据评估为影响LSM的协变量。肝脏硬度与纤维化分期相关(p<0.05);对于显著纤维化,TE(kPa)、SSI(kPa)和ARFI(m/s)的ROC曲线下面积分别为0.757、0.759和0.657,对于晚期纤维化则分别为0.870、0.809和0.873。人体测量特征是影响SSI的显著混杂因素,而血清肝损伤标志物显著混淆TE和ARFI。总之,LSM方法在NAFLD患者肝纤维化分期中具有相似的诊断性能。LSM前的人体测量评估可能有助于预测SSI的可靠性。

https://cdn.ncbi.nlm.nih.gov/pmc/blobs/35ad/5703509/347490da204c/pone.0188321.g001.jpg

相似文献

6
Acoustic radiation force impulse and supersonic shear imaging versus transient elastography for liver fibrosis assessment.
Ultrasound Med Biol. 2013 Nov;39(11):1933-41. doi: 10.1016/j.ultrasmedbio.2013.05.003. Epub 2013 Aug 9.

引用本文的文献

4
KASL clinical practice guidelines for noninvasive tests to assess liver fibrosis in chronic liver disease.
Clin Mol Hepatol. 2024 Sep;30(Suppl):S5-S105. doi: 10.3350/cmh.2024.0506. Epub 2024 Aug 19.
5
Liver Ultrasound Elastography in Non-Alcoholic Fatty Liver Disease: A State-of-the-Art Summary.
Diagnostics (Basel). 2023 Mar 24;13(7):1236. doi: 10.3390/diagnostics13071236.
8
Screening for Liver Fibrosis in the General Population: Where Do We Stand in 2022?
Diagnostics (Basel). 2022 Dec 28;13(1):91. doi: 10.3390/diagnostics13010091.
9
Noninvasive imaging biomarkers for liver fibrosis in nonalcoholic fatty liver disease: current and future.
Clin Mol Hepatol. 2023 Feb;29(Suppl):S136-S149. doi: 10.3350/cmh.2022.0436. Epub 2022 Dec 12.

本文引用的文献

3
Sarcopenia is an independent risk factor for non-alcoholic steatohepatitis and significant fibrosis.
J Hepatol. 2017 Jan;66(1):123-131. doi: 10.1016/j.jhep.2016.08.019. Epub 2016 Sep 4.
5
Transient and 2-Dimensional Shear-Wave Elastography Provide Comparable Assessment of Alcoholic Liver Fibrosis and Cirrhosis.
Gastroenterology. 2016 Jan;150(1):123-33. doi: 10.1053/j.gastro.2015.09.040. Epub 2015 Oct 3.
8
Elastography Assessment of Liver Fibrosis: Society of Radiologists in Ultrasound Consensus Conference Statement.
Radiology. 2015 Sep;276(3):845-61. doi: 10.1148/radiol.2015150619. Epub 2015 Jun 16.
10
Liver Fibrosis, but No Other Histologic Features, Is Associated With Long-term Outcomes of Patients With Nonalcoholic Fatty Liver Disease.
Gastroenterology. 2015 Aug;149(2):389-97.e10. doi: 10.1053/j.gastro.2015.04.043. Epub 2015 Apr 29.

文献AI研究员

20分钟写一篇综述,助力文献阅读效率提升50倍。

立即体验

用中文搜PubMed

大模型驱动的PubMed中文搜索引擎

马上搜索

文档翻译

学术文献翻译模型,支持多种主流文档格式。

立即体验