Suppr超能文献

相似文献

2
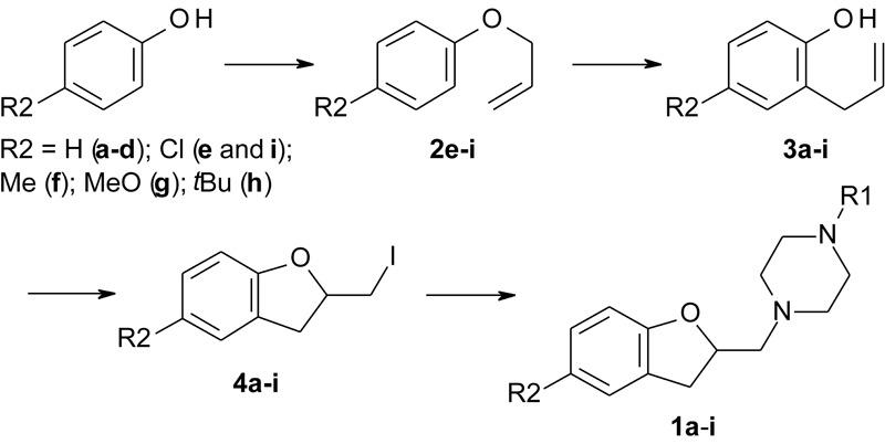
1-[(2,3-Dihydro-1-benzofuran-2-yl) methyl]piperazines as novel anti-inflammatory compounds: Synthesis and evaluation on H R/H R.
Chem Biol Drug Des. 2017 Aug;90(2):317-322. doi: 10.1111/cbdd.12947. Epub 2017 Feb 16.
6
Pharmacological and SAR analysis of the LINS01 compounds at the human histamine H , H , and H receptors.
Chem Biol Drug Des. 2019 Jan;93(1):89-95. doi: 10.1111/cbdd.13387. Epub 2018 Sep 24.
8
Histamine H3 and H4 receptors as novel drug targets.
Expert Opin Investig Drugs. 2009 Oct;18(10):1519-31. doi: 10.1517/14728220903188438.
10
Studies on molecular properties prediction and histamine H3 receptor affinities of novel ligands with uracil-based motifs.
Eur J Med Chem. 2014 Oct 30;86:578-88. doi: 10.1016/j.ejmech.2014.09.011. Epub 2014 Sep 6.

本文引用的文献

1
1-[(2,3-Dihydro-1-benzofuran-2-yl) methyl]piperazines as novel anti-inflammatory compounds: Synthesis and evaluation on H R/H R.
Chem Biol Drug Des. 2017 Aug;90(2):317-322. doi: 10.1111/cbdd.12947. Epub 2017 Feb 16.
2
Pitolisant: First Global Approval.
Drugs. 2016 Sep;76(13):1313-1318. doi: 10.1007/s40265-016-0620-1.
4
The human histaminergic system in neuropsychiatric disorders.
Trends Neurosci. 2015 Mar;38(3):167-77. doi: 10.1016/j.tins.2014.12.008. Epub 2015 Jan 7.
5
Histamine H4 receptor ligands: future applications and state of art.
Chem Biol Drug Des. 2015 Apr;85(4):461-80. doi: 10.1111/cbdd.12431. Epub 2014 Oct 27.
6
Aryl-1,3,5-triazine derivatives as histamine H4 receptor ligands.
Eur J Med Chem. 2014 Aug 18;83:534-46. doi: 10.1016/j.ejmech.2014.06.032. Epub 2014 Jun 17.
7
The role of ligand efficiency metrics in drug discovery.
Nat Rev Drug Discov. 2014 Feb;13(2):105-21. doi: 10.1038/nrd4163.
8
The dual H3/4R antagonist thioperamide does not fully mimic the effects of the 'standard' H4R antagonist JNJ 7777120 in experimental murine asthma.
Naunyn Schmiedebergs Arch Pharmacol. 2013 Nov;386(11):983-90. doi: 10.1007/s00210-013-0898-4. Epub 2013 Jul 3.
9
Detailed analysis of biased histamine H₄ receptor signalling by JNJ 7777120 analogues.
Br J Pharmacol. 2013 Sep;170(1):78-88. doi: 10.1111/bph.12117.
10
Detailed structure-activity relationship of indolecarboxamides as H4 receptor ligands.
Eur J Med Chem. 2012 Aug;54:660-8. doi: 10.1016/j.ejmech.2012.06.016. Epub 2012 Jun 18.

文献AI研究员

20分钟写一篇综述,助力文献阅读效率提升50倍。

立即体验

用中文搜PubMed

大模型驱动的PubMed中文搜索引擎

马上搜索

文档翻译

学术文献翻译模型,支持多种主流文档格式。

立即体验