Tonelli Michele, Gabriele Elena, Piazza Francesca, Basilico Nicoletta, Parapini Silvia, Tasso Bruno, Loddo Roberta, Sparatore Fabio, Sparatore Anna
a Dipartimento di Farmacia , Università di Genova , Genova , Italy.
b Dipartimento di Scienze Farmaceutiche , Università degli Studi di Milano , Milano , Italy.
J Enzyme Inhib Med Chem. 2018 Dec;33(1):210-226. doi: 10.1080/14756366.2017.1410480.
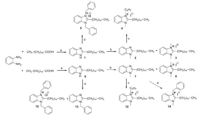
Two sets of benzimidazole derivatives were synthesised and tested in vitro for activity against promastigotes of Leishmania tropica and L. infantum. Most of the tested compounds resulted active against both Leishmania species, with IC values in the low micromolar/sub-micromolar range. Among the set of 2-(long chain)alkyl benzimidazoles, whose heterocyclic head was quaternised, compound 8 resulted about 100-/200-fold more potent than miltefosine, even if the selectivity index (SI) versus HMEC-1 cells was only moderately improved. In the set of 2-benzyl and 2-phenyl benzimidazoles, bearing a basic side chain in position 1, compound 28 (2-(4-chlorobenzyl)-1-lupinyl-5-trifluoromethylbenzimidazole) was 12-/7-fold more potent than miltefosine, but exhibited a further improved SI. Therefore, compounds 8 and 28 represent interesting hit compounds, susceptible of structural modification to improve their safety profiles.
合成了两组苯并咪唑衍生物,并在体外测试了它们对热带利什曼原虫和婴儿利什曼原虫前鞭毛体的活性。大多数测试化合物对这两种利什曼原虫均有活性,其IC值处于低微摩尔/亚微摩尔范围内。在杂环头部被季铵化的2-(长链)烷基苯并咪唑组中,化合物8的效力比米替福新高约100-/200倍,即使其相对于HMEC-1细胞的选择性指数(SI)仅适度提高。在1位带有碱性侧链的2-苄基和2-苯基苯并咪唑组中,化合物28(2-(4-氯苄基)-1-羽扇豆基-5-三氟甲基苯并咪唑)的效力比米替福新高12-/7倍,但SI进一步提高。因此,化合物8和28是有趣的先导化合物,易于进行结构修饰以改善其安全性。