Jakimov Tamara, Mrdović Igor, Filipović Branka, Zdravković Marija, Djoković Aleksandra, Hinić Saša, Milić Nataša, Filipović Branislav
Tamara Jakimov, Department of Cardiology, Clinical and Hospital Center "Bežanijska kosa", Autoput s/n, 11000 Belgrade, Serbia,
Croat Med J. 2017 Dec 31;58(6):406-415. doi: 10.3325/cmj.2017.58.406.
To compare the prognostic performance of three major risk scoring systems including global registry for acute coronary events (GRACE), thrombolysis in myocardial infarction (TIMI), and prediction of 30-day major adverse cardiovascular events after primary percutaneous coronary intervention (RISK-PCI).
This single-center retrospective study involved 200 patients with acute coronary syndrome (ACS) who underwent invasive diagnostic approach, ie, coronary angiography and myocardial revascularization if appropriate, in the period from January 2014 to July 2014. The GRACE, TIMI, and RISK-PCI risk scores were compared for their predictive ability. The primary endpoint was a composite 30-day major adverse cardiovascular event (MACE), which included death, urgent target-vessel revascularization (TVR), stroke, and non-fatal recurrent myocardial infarction (REMI).
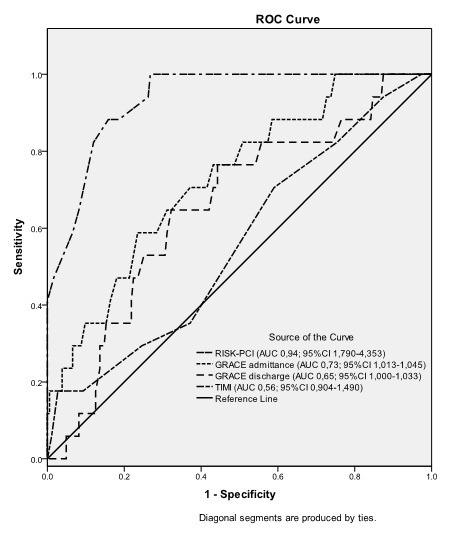
The c-statistics of the tested scores for 30-day MACE or area under the receiver operating characteristic curve (AUC) with confidence intervals (CI) were as follows: RISK-PCI (AUC=0.94; 95% CI 1.790-4.353), the GRACE score on admission (AUC=0.73; 95% CI 1.013-1.045), the GRACE score on discharge (AUC=0.65; 95% CI 0.999-1.033). The RISK-PCI score was the only score that could predict TVR (AUC=0.91; 95% CI 1.392-2.882). The RISK-PCI scoring system showed an excellent discriminative potential for 30-day death (AUC=0.96; 95% CI 1.339-3.548) in comparison with the GRACE scores on admission (AUC=0.88; 95% CI 1.018-1.072) and on discharge (AUC=0.78; 95% CI 1.000-1.058).
In comparison with the GRACE and TIMI scores, RISK-PCI score showed a non-inferior ability to predict 30-day MACE and death in ACS patients. Moreover, RISK-PCI was the only scoring system that could predict recurrent ischemia requiring TVR.
比较三种主要风险评分系统的预后表现,包括急性冠状动脉事件全球注册研究(GRACE)、心肌梗死溶栓治疗(TIMI)以及直接经皮冠状动脉介入治疗后30天主要不良心血管事件预测(RISK-PCI)。
这项单中心回顾性研究纳入了200例急性冠状动脉综合征(ACS)患者,这些患者在2014年1月至2014年7月期间接受了侵入性诊断方法,即冠状动脉造影,并在适当情况下进行心肌血运重建。比较GRACE、TIMI和RISK-PCI风险评分的预测能力。主要终点是30天主要不良心血管事件(MACE)复合终点,包括死亡、紧急靶血管血运重建(TVR)、中风和非致命性再发性心肌梗死(REMI)。
30天MACE的测试评分的c统计量或接受者操作特征曲线(AUC)下面积及其置信区间(CI)如下:RISK-PCI(AUC = 0.94;95%CI 1.790 - 4.353),入院时GRACE评分(AUC = 0.73;95%CI 1.013 - 1.045),出院时GRACE评分(AUC = 0.65;95%CI 0.999 - 1.033)。RISK-PCI评分是唯一能够预测TVR的评分(AUC = 0.91;95%CI 1.392 - 2.882)。与入院时(AUC = 0.88;95%CI 1.018 - 1.072)和出院时(AUC = 0.78;95%CI 1.000 - 1.058)的GRACE评分相比,RISK-PCI评分系统在预测30天死亡方面显示出出色的辨别潜力(AUC = 0.96;95%CI 1.339 - 3.548)。
与GRACE和TIMI评分相比,RISK-PCI评分在预测ACS患者30天MACE和死亡方面显示出不劣的能力。此外,RISK-PCI是唯一能够预测需要TVR的复发性缺血的评分系统。