Suppr超能文献

通过全面的长链非编码RNA特征对肾肾乳头状细胞癌进行生存预测

Survival prediction of kidney renal papillary cell carcinoma by comprehensive LncRNA characterization.

作者信息

Lan Huihua, Zeng Jianghui, Chen Gang, Huang Huayi

机构信息

Department of Laboratory Medicine, The People's Hospital of Guangxi Zhuang Autonomous Region, Nanning, Guangxi, China.

Department of Laboratory Medicine, The Third Affiliated Hospital of Guangxi Medical University/The Second People's Hospital of the City of Nanning, Nanning, Guangxi, China.

出版信息

Oncotarget. 2017 Nov 28;8(67):110811-110829. doi: 10.18632/oncotarget.22732. eCollection 2017 Dec 19.

Abstract

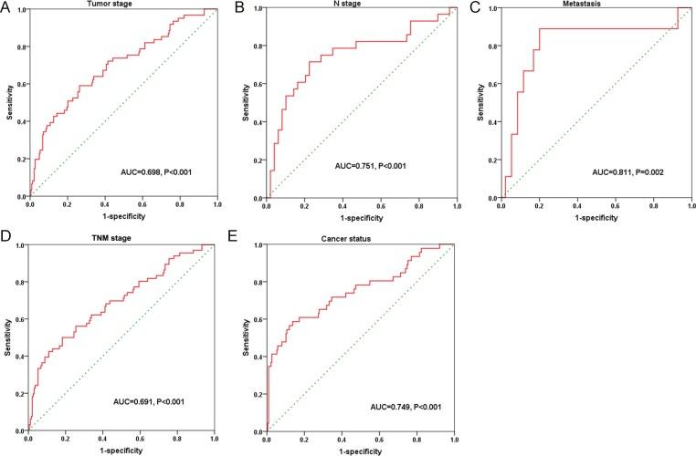
Kidney renal papillary cell carcinoma (KIRP) accounts for 10%-15% of renal cell carcinoma (RCC), patients with KIRP tend to have a poor prognosis, and there was a lack of effective prognostic indicators for this type of cancer. Currently, owing to the availability of The Cancer Genome Atlas (TCGA), long non-coding RNAs (LncRNAs) have been discovered to indicate a prognostic value in some tumors. In that regard, we analyzed lncRNA-sequencing data of KIRP in TCGA, and among 780 differentially-expressed lncRNAs, we selected 37 lncRNAs which were able to assist the prognosis. In addition, by using the multivariate cox regression analysis, the prognosis index (PI) that consisted of 7 lncRNAs (including AFAP1-AS1, GAS6-AS1, RP11-1C8.7, RP11-21L19.1, RP11-503C24.1, RP11-536I6.2, and RP11-63A11.1) could predict the progression and outcomes of KIRP with accuracy. More importantly, the PI was considered an independent indicator for prognostication of KIRP. Moreover, having categorized patients with KIRP into cohorts of high risk and low risk, according to the PI, we found that the key genes and pathways varied in these two groups. Overall, these LncRNAs, especially the PI, may be conceived as biomarkers and helpful for determining the different pathological stages for KIRP patients. However, their biological functions need to be further confirmed.

摘要

肾肾乳头细胞癌(KIRP)占肾细胞癌(RCC)的10%-15%,KIRP患者预后往往较差,且缺乏针对这类癌症的有效预后指标。目前,由于癌症基因组图谱(TCGA)数据的可得性,已发现长链非编码RNA(lncRNAs)在某些肿瘤中具有预后价值。在这方面,我们分析了TCGA中KIRP的lncRNA测序数据,在780个差异表达的lncRNAs中,我们筛选出37个能够辅助预后的lncRNAs。此外,通过多变量cox回归分析,由7个lncRNAs(包括AFAP1-AS1、GAS6-AS1、RP11-1C8.7、RP11-21L19.1、RP11-503C24.1、RP11-536I6.2和RP11-63A11.1)组成的预后指数(PI)能够准确预测KIRP的进展和预后。更重要的是,PI被认为是KIRP预后的独立指标。此外,根据PI将KIRP患者分为高风险和低风险队列,我们发现这两组中的关键基因和通路有所不同。总体而言,这些lncRNAs,尤其是PI,可被视为生物标志物,有助于确定KIRP患者的不同病理阶段。然而,它们的生物学功能有待进一步证实。

https://cdn.ncbi.nlm.nih.gov/pmc/blobs/2b28/5762286/8b7d80f284b5/oncotarget-08-110811-g001.jpg

文献AI研究员

20分钟写一篇综述,助力文献阅读效率提升50倍。

立即体验

用中文搜PubMed

大模型驱动的PubMed中文搜索引擎

马上搜索

文档翻译

学术文献翻译模型,支持多种主流文档格式。

立即体验