Suppr超能文献

华北平原有限灌溉策略对提高水分利用效率和小麦产量的评估

Evaluation of limited irrigation strategies to improve water use efficiency and wheat yield in the North China Plain.

作者信息

Zhang Di, Li Ruiqi, Batchelor William D, Ju Hui, Li Yanming

机构信息

College of Agronomy, Hebei Agricultural University, Baoding, Hebei, China.

Biosystems Engineering Department, Auburn University, Auburn, AL, United States of America.

出版信息

PLoS One. 2018 Jan 25;13(1):e0189989. doi: 10.1371/journal.pone.0189989. eCollection 2018.

Abstract

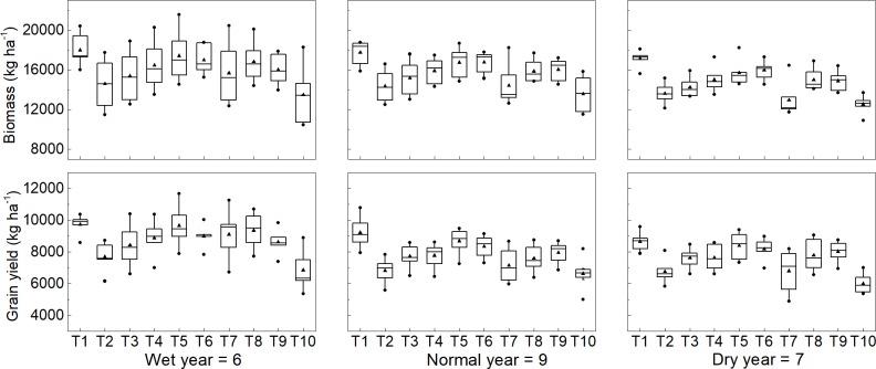
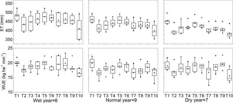
The North China Plain is one of the most important grain production regions in China, but is facing serious water shortages. To achieve a balance between water use and the need for food self-sufficiency, new water efficient irrigation strategies need to be developed that balance water use with farmer net return. The Crop Environment Resource Synthesis Wheat (CERES-Wheat model) was calibrated and evaluated with two years of data which consisted of 3-4 irrigation treatments, and the model was used to investigate long-term winter wheat productivity and water use from irrigation management in the North China Plain. The calibrated model simulated accurately above-ground biomass, grain yield and evapotranspiration of winter wheat in response to irrigation management. The calibrated model was then run using weather data from 1994-2016 in order to evaluate different irrigation strategies. The simulated results using historical weather data showed that grain yield and water use was sensitive to different irrigation strategies including amounts and dates of irrigation applications. The model simulated the highest yield when irrigation was applied at jointing (T9) in normal and dry rainfall years, and gave the highest simulated yields for irrigation at double ridge (T8) in wet years. A single simulated irrigation at jointing (T9) produced yields that were 88% compared to using a double irrigation treatment at T1 and T9 in wet years, 86% of that in normal years, and 91% of that in dry years. A single irrigation at jointing or double ridge produced higher water use efficiency because it obtained higher evapotranspiration. The simulated farmer irrigation practices produced the highest yield and net income. When the cost of water was taken into account, limited irrigation was found to be more profitable based on assumptions about future water costs. In order to increase farmer income, a subsidy will likely be needed to compensate farmers for yield reductions due to water savings. These results showed that there is a cost to the farmer for water conservation, but limiting irrigation to a single irrigation at jointing would minimize impact on farmer net return in North China Plain.

摘要

华北平原是中国最重要的粮食产区之一,但正面临严重的水资源短缺问题。为了在用水和粮食自给需求之间实现平衡,需要制定新的节水灌溉策略,使用水与农民净收益相平衡。利用包含3 - 4种灌溉处理的两年数据对作物环境资源综合小麦(CERES - Wheat模型)进行了校准和评估,并使用该模型研究华北平原冬小麦长期生产力和灌溉管理中的用水情况。校准后的模型能够准确模拟冬小麦地上生物量、籽粒产量和蒸散量对灌溉管理的响应。然后使用1994 - 2016年的气象数据运行校准后的模型,以评估不同的灌溉策略。利用历史气象数据的模拟结果表明,籽粒产量和用水对包括灌溉量和灌溉日期在内的不同灌溉策略敏感。在正常降雨年和干旱降雨年,拔节期(T9)灌溉时模型模拟的产量最高;在湿润年份,双棱期(T8)灌溉时模型模拟的产量最高。在湿润年份,拔节期单次模拟灌溉(T9)的产量与在T1和T9进行两次灌溉处理相比为88%,在正常年份为86%,在干旱年份为91%。拔节期或双棱期单次灌溉产生的水分利用效率更高,因为其蒸散量更高。模拟的农民灌溉实践产生了最高的产量和净收入。考虑到水的成本,基于对未来水成本的假设,有限灌溉被发现更有利可图。为了增加农民收入,可能需要补贴以补偿农民因节水导致的产量降低。这些结果表明,农民节水是有成本的,但在华北平原将灌溉限制在拔节期单次灌溉将使对农民净收益的影响最小化。

https://cdn.ncbi.nlm.nih.gov/pmc/blobs/dbf4/5784901/eed3d2725418/pone.0189989.g001.jpg

文献AI研究员

20分钟写一篇综述,助力文献阅读效率提升50倍。

立即体验

用中文搜PubMed

大模型驱动的PubMed中文搜索引擎

马上搜索

文档翻译

学术文献翻译模型,支持多种主流文档格式。

立即体验