Suppr超能文献

结构与氢键在液态水稳定性极限处的作用。

Structure and hydrogen bonding at the limits of liquid water stability.

机构信息

IBM Research UK, Hartree Centre, Daresbury, WA4 4AD, United Kingdom.

STFC Daresbury Laboratory, Daresbury, WA4 4AD, United Kingdom.

出版信息

Sci Rep. 2018 Jan 29;8(1):1718. doi: 10.1038/s41598-017-18975-7.

Abstract

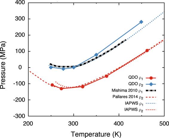
Liquid water exhibits unconventional behaviour across its wide range of stability - from its unusually high liquid-vapour critical point down to its melting point and below where it reaches a density maximum and exhibits negative thermal expansion allowing ice to float. Understanding the molecular underpinnings of these anomalies presents a challenge motivating the study of water for well over a century. Here we examine the molecular structure of liquid water across its range of stability, from mild supercooling to the negative pressure and high temperature regimes. We use a recently-developed, electronically-responsive model of water, constructed from gas-phase molecular properties and incorporating many-body, long-range interactions to all orders; as a result the model has been shown to have high transferability from ice to the supercritical regime. We report a link between the anomalous thermal expansion of water and the behaviour of its second coordination shell and an anomaly in hydrogen bonding, which persists throughout liquid water's range of stability - from the high temperature limit of liquid water to its supercooled regime.

摘要

液态水在其广泛的稳定性范围内表现出非传统的行为 - 从其异常高的液体-蒸汽临界点下降到其熔点以下,在那里它达到密度最大值并表现出负热膨胀,允许冰漂浮。理解这些异常现象的分子基础提出了一个挑战,促使人们对水进行了一个多世纪的研究。在这里,我们研究了液态水在其稳定性范围内的分子结构,从温和的过冷到负压和高温区域。我们使用最近开发的、对电子有响应的水模型,该模型由气相分子特性构建,并包含多体、长程相互作用的所有阶次;因此,该模型已被证明在从冰到超临界区域的转移中具有很高的可转移性。我们报告了水的异常热膨胀与第二配位壳层的行为之间的联系,以及氢键的异常,这种异常在整个液态水的稳定性范围内都存在 - 从液态水的高温极限到过冷区。

https://cdn.ncbi.nlm.nih.gov/pmc/blobs/0b1b/5789020/648870af8a8e/41598_2017_18975_Fig1_HTML.jpg

文献AI研究员

20分钟写一篇综述,助力文献阅读效率提升50倍。

立即体验

用中文搜PubMed

大模型驱动的PubMed中文搜索引擎

马上搜索

文档翻译

学术文献翻译模型,支持多种主流文档格式。

立即体验