Suppr超能文献

阿片类药物滥用风险筛查工具可预测当日尿液药物检测异常及1年受控物质数据库检查结果:简要报告

The Opioid Abuse Risk Screener predicts aberrant same-day urine drug tests and 1-year controlled substance database checks: A brief report.

作者信息

Averill Lynnette A, Averill Christopher L, Staley Lyndsay A, Ozawa-Kirk J L, Kauwe John Sk, Henrie-Barrus Patricia

机构信息

US Department of Veterans Affairs, USA.

Yale University, USA.

出版信息

Health Psychol Open. 2017 Dec 22;4(2):2055102917748459. doi: 10.1177/2055102917748459. eCollection 2017 Jul-Dec.

Abstract

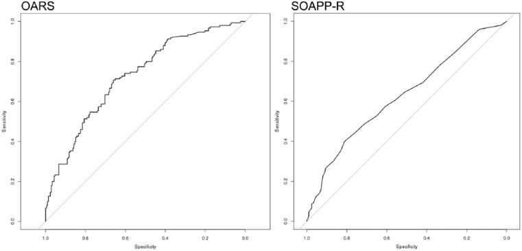
The Opioid Abuse Risk Screener was developed to support well-informed decision-making in opioid analgesic prescribing by extending the breadth of psychiatric risk factors evaluated relative to other non-clinician-administered measures. We examined the preliminary predictive validity of the Opioid Abuse Risk Screener relative to the widely used Screener and Opioid Assessment for Patients with Pain-Revised in predicting aberrant urine drug tests and controlled substance database checks. The Opioid Abuse Risk Screener is significantly different from the Screener and Opioid Assessment for Patients with Pain-Revised in predicting aberrant same-day urine drug tests ( = 2.912,  = 0.0036) and controlled substance database checks within 1 year of assessment ( = 3.731,  = 0.0002). Promising preliminary analyses using machine learning methods are also discussed.

摘要

阿片类药物滥用风险筛查工具的开发旨在通过扩展相对于其他非临床医生实施的措施所评估的精神风险因素的范围,支持在阿片类镇痛药物处方中做出明智的决策。我们检验了阿片类药物滥用风险筛查工具相对于广泛使用的疼痛患者筛查与阿片类药物评估修订版在预测异常尿液药物检测和管制药品数据库检查方面的初步预测效度。阿片类药物滥用风险筛查工具在预测当天异常尿液药物检测(χ² = 2.912,P = 0.0036)和评估后1年内的管制药品数据库检查(χ² = 3.731,P = 0.0002)方面与疼痛患者筛查与阿片类药物评估修订版存在显著差异。还讨论了使用机器学习方法进行的有前景的初步分析。

https://cdn.ncbi.nlm.nih.gov/pmc/blobs/c16e/5779942/23111b42856b/10.1177_2055102917748459-fig1.jpg

相似文献

1
The Opioid Abuse Risk Screener predicts aberrant same-day urine drug tests and 1-year controlled substance database checks: A brief report.
Health Psychol Open. 2017 Dec 22;4(2):2055102917748459. doi: 10.1177/2055102917748459. eCollection 2017 Jul-Dec.
2
Development and preliminary validation of the Opioid Abuse Risk Screener.
Health Psychol Open. 2016 May 15;3(1):2055102916648995. doi: 10.1177/2055102916648995. eCollection 2016 Jan.
6
Validation of a screener and opioid assessment measure for patients with chronic pain.
Pain. 2004 Nov;112(1-2):65-75. doi: 10.1016/j.pain.2004.07.026.
8
Validation and clinical application of the Screener and Opioid Assessment for Patients with Pain (SOAPP).
J Pain Symptom Manage. 2006 Sep;32(3):287-93. doi: 10.1016/j.jpainsymman.2006.03.010.

引用本文的文献

1
Predictive Modelling of Susceptibility to Substance Abuse, Mortality and Drug-Drug Interactions in Opioid Patients.
Front Artif Intell. 2021 Dec 10;4:742723. doi: 10.3389/frai.2021.742723. eCollection 2021.

本文引用的文献

1
Use of a machine learning framework to predict substance use disorder treatment success.
PLoS One. 2017 Apr 10;12(4):e0175383. doi: 10.1371/journal.pone.0175383. eCollection 2017.
3
Development and preliminary validation of the Opioid Abuse Risk Screener.
Health Psychol Open. 2016 May 15;3(1):2055102916648995. doi: 10.1177/2055102916648995. eCollection 2016 Jan.
5
Toxicology in Pain Management.
Clin Lab Med. 2016 Dec;36(4):673-684. doi: 10.1016/j.cll.2016.07.007. Epub 2016 Oct 15.
7
CDC Guideline for Prescribing Opioids for Chronic Pain - United States, 2016.
MMWR Recomm Rep. 2016 Mar 18;65(1):1-49. doi: 10.15585/mmwr.rr6501e1.
8
Machine-learning identifies substance-specific behavioral markers for opiate and stimulant dependence.
Drug Alcohol Depend. 2016 Apr 1;161:247-57. doi: 10.1016/j.drugalcdep.2016.02.008. Epub 2016 Feb 15.
10
Bridging a translational gap: using machine learning to improve the prediction of PTSD.
BMC Psychiatry. 2015 Mar 16;15:30. doi: 10.1186/s12888-015-0399-8.

文献AI研究员

20分钟写一篇综述,助力文献阅读效率提升50倍。

立即体验

用中文搜PubMed

大模型驱动的PubMed中文搜索引擎

马上搜索

文档翻译

学术文献翻译模型,支持多种主流文档格式。

立即体验