Suppr超能文献

双重靶向脑内递药:合成与生物学评价。

Dual-targeting for brain-specific drug delivery: synthesis and biological evaluation.

机构信息

a Key Laboratory of Drug Targeting and Drug Delivery System of Education Ministry, Department of Medicinal Chemistry, West China School of Pharmacy , Sichuan University , Chengdu , P.R. China.

出版信息

Drug Deliv. 2018 Nov;25(1):426-434. doi: 10.1080/10717544.2018.1431978.

Abstract

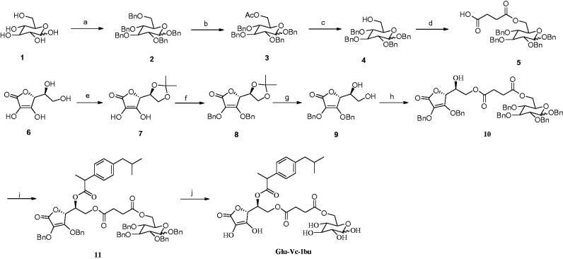
Ibuprofen is one of the most potent non-steroid anti-inflammatory drugs (NSAIDs) and plays an important role in the treatment of neurodegenerative diseases. However, its poor brain penetration and serious side effects at therapeutic doses, has hindered its further application. Thus, it is of great interest to develop a carrier-mediated transporter (CMT) system that is capable of more efficiently delivering ibuprofen into the brain at smaller doses to treat neurodegenerative diseases. In this study, a dual-mediated ibuprofen prodrug modified by glucose (Glu) and vitamin C (Vc) for central nervous system (CNS) drug delivery was designed and synthesized in order to effectively deliver ibuprofen to brain. Ibuprofen could be released from the prepared prodrugs when incubated with various buffers, mice plasma and brain homogenate. Also, the prodrug showed superior neuroprotective effect in vitro and in vivo than ibuprofen. Our results suggest that chemical modification of therapeutics with warheads of glucose and Vc represents a promising and efficient strategy for the development of brain-targeting prodrugs by utilizing the endogenous transportation mechanism of the warheads.

摘要

布洛芬是最有效的非甾体抗炎药(NSAIDs)之一,在治疗神经退行性疾病方面发挥着重要作用。然而,其在治疗剂量下的脑穿透性差和严重的副作用,阻碍了其进一步的应用。因此,开发一种载体介导的转运体(CMT)系统,以更小的剂量更有效地将布洛芬递送到大脑中,用于治疗神经退行性疾病,这是非常有意义的。在这项研究中,设计并合成了一种由葡萄糖(Glu)和维生素 C(Vc)修饰的双重介导布洛芬前药,用于中枢神经系统(CNS)药物递送,以有效将布洛芬递送到大脑。当用各种缓冲液、小鼠血浆和脑匀浆孵育时,可从制备的前药中释放出布洛芬。此外,与布洛芬相比,该前药在体外和体内均显示出更好的神经保护作用。我们的结果表明,利用弹头的内源性转运机制,用弹头对治疗药物进行化学修饰代表了开发靶向大脑的前药的一种有前途且有效的策略。

https://cdn.ncbi.nlm.nih.gov/pmc/blobs/f049/6058731/26a14d407815/IDRD_A_1431978_F0001_B.jpg

文献AI研究员

20分钟写一篇综述,助力文献阅读效率提升50倍。

立即体验

用中文搜PubMed

大模型驱动的PubMed中文搜索引擎

马上搜索

文档翻译

学术文献翻译模型,支持多种主流文档格式。

立即体验