Department of Cardiology, Thoraxcentrum Twente, Medisch Spectrum Twente, Enschede, the Netherlands.
Department of Cardiothoracic Surgery, Thoraxcentrum Twente, Medisch Spectrum Twente, Enschede, the Netherlands.
J Am Heart Assoc. 2018 Jan 30;7(3):e007212. doi: 10.1161/JAHA.117.007212.
Percutaneous coronary intervention (PCI) in patients with previous coronary artery bypass grafting (CABG) is associated with adverse clinical events. Although newer generation drug-eluting stents showed favorable short-term safety profiles, there is a lack of long-term outcome data. We evaluated the impact of previous CABG on 5-year clinical outcomes of patients treated with PCI using newer-generation drug-eluting stents.
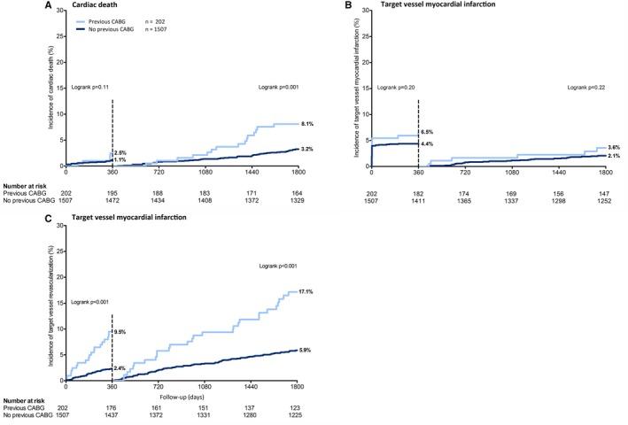
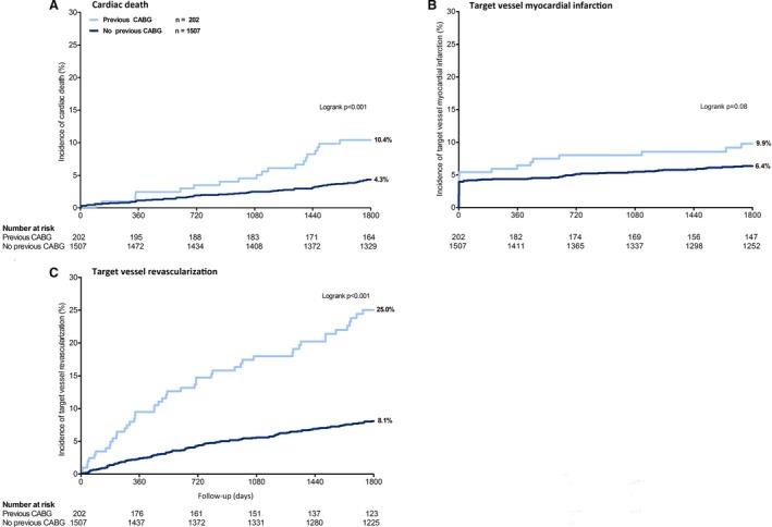
In this patient-level pooled analysis of the prospective TWENTE (The Real-World Endeavor Resolute versus Xience V Drug-Eluting Stent Study in Twente) trial and nonenrolled TWENTE registry, we assessed a consecutive series of patients who underwent PCI with newer-generation drug-eluting stents for non-ST-segment-elevation acute coronary syndromes or stable angina. Of all 1709 patients, 202 (11.8%) had a history of CABG. Patients with previous CABG had significantly higher 5-year rates of cardiac death (10.4% versus 4.3%; <0.001) and target vessel revascularization (25.0% versus 8.1%; <0.001). These differences remained statistically significant after adjustment for differences in baseline characteristics. Landmark analysis revealed that from 1- to 5-year follow-up, the rates of cardiac death (8.1% versus 3.2%; <0.001) and target vessel revascularization (17.1% versus 5.9%; <0.001) were significantly higher in patients with previous CABG. Among patients with a history of CABG, PCI of an obstructed vein graft was associated with a higher rate of 5-year target vessel revascularization (=0.003).
At 5-year follow-up after PCI with newer-generation drug-eluting stents, the risk of cardiac death and target vessel revascularization was significantly higher in patients with previous CABG. The target vessel revascularization rate was highest in patients who underwent PCI of obstructed vein grafts.
经皮冠状动脉介入治疗(PCI)在既往冠状动脉旁路移植术(CABG)患者中与不良临床事件相关。尽管新一代药物洗脱支架显示出有利的短期安全性,但缺乏长期结果数据。我们评估了既往 CABG 对接受新一代药物洗脱支架 PCI 治疗的患者 5 年临床结局的影响。
在前瞻性 TWENTE(真实世界 Endeavor Resolute 与 Xience V 药物洗脱支架在特温特研究)试验和未登记的 TWENTE 登记处的患者水平汇总分析中,我们评估了一系列连续接受新一代药物洗脱支架治疗非 ST 段抬高型急性冠状动脉综合征或稳定型心绞痛的 PCI 患者。在所有 1709 例患者中,202 例(11.8%)有 CABG 史。既往 CABG 患者 5 年心脏死亡(10.4%比 4.3%;<0.001)和靶血管血运重建(25.0%比 8.1%;<0.001)的 5 年发生率显著更高。调整基线特征差异后,这些差异仍具有统计学意义。里程碑分析显示,从 1 年到 5 年随访,既往 CABG 患者心脏死亡(8.1%比 3.2%;<0.001)和靶血管血运重建(17.1%比 5.9%;<0.001)的发生率显著更高。在既往 CABG 病史患者中,阻塞性静脉桥血管 PCI 与 5 年靶血管血运重建的发生率较高相关(=0.003)。
在新一代药物洗脱支架 PCI 后 5 年随访时,既往 CABG 患者的心脏死亡和靶血管血运重建风险显著增加。在接受阻塞性静脉桥血管 PCI 的患者中,靶血管血运重建率最高。