Instituto de Productos Naturales y Agrobiología del CSIC, CSIC-Spanish Research Council, Avda. Astrofísico Fco. Sánchez, 3-38206 La Laguna, Tenerife, Spain.
Molecules. 2018 Feb 1;23(2):311. doi: 10.3390/molecules23020311.
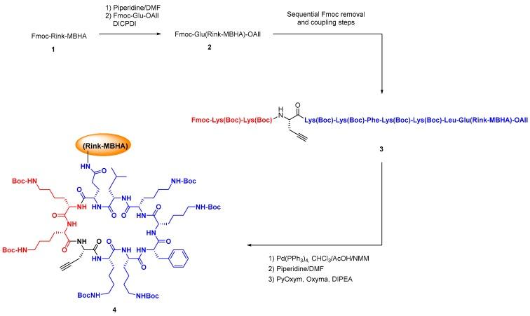
Host-defense peptides, also called antimicrobial peptides (AMPs), whose protective action has been used by animals for millions of years, fulfill many requirements of the pharmaceutical industry, such as: (1) broad spectrum of activity; (2) unlike classic antibiotics, they induce very little resistance; (3) they act synergically with conventional antibiotics; (4) they neutralize endotoxins and are active in animal models. However, it is considered that many natural peptides are not suitable for drug development due to stability and biodisponibility problems, or high production costs. This review describes the efforts to overcome these problems and develop new antimicrobial drugs from these peptides or inspired by them. The discovery process of natural AMPs is discussed, as well as the development of synthetic analogs with improved pharmacological properties. The production of these compounds at acceptable costs, using different chemical and biotechnological methods, is also commented. Once these challenges are overcome, a new generation of versatile, potent and long-lasting antimicrobial drugs is expected.
宿主防御肽,也称为抗菌肽 (AMPs),其保护作用已被动物使用了数百万年,它们符合制药行业的许多要求,例如:(1) 广谱活性;(2) 与经典抗生素不同,它们诱导的耐药性很小;(3) 它们与常规抗生素协同作用;(4) 它们中和内毒素并在动物模型中具有活性。然而,由于稳定性和生物利用度问题或高生产成本,许多天然肽被认为不适合药物开发。本综述描述了克服这些问题并从这些肽或受其启发开发新型抗菌药物的努力。讨论了天然 AMP 的发现过程,以及具有改善的药理特性的合成类似物的开发。还评论了使用不同的化学和生物技术方法以可接受的成本生产这些化合物。一旦克服了这些挑战,预计将出现新一代多功能、强效且持久的抗菌药物。