Suppr超能文献

具有滑动界面的弹性固体的分叉

Bifurcation of elastic solids with sliding interfaces.

作者信息

Bigoni D, Bordignon N, Piccolroaz A, Stupkiewicz S

机构信息

DICAM, University of Trento, Trento, Italy.

Institute of Fundamental Technological Research, Polish Academy of Sciences, Warsaw, Poland.

出版信息

Proc Math Phys Eng Sci. 2018 Jan;474(2209):20170681. doi: 10.1098/rspa.2017.0681. Epub 2018 Jan 10.

Abstract

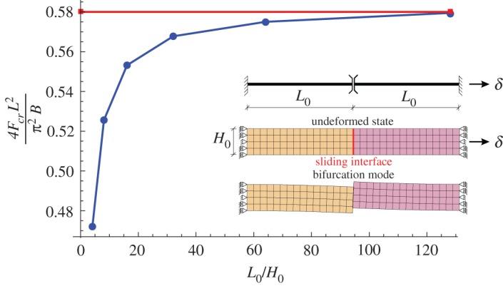
Lubricated sliding contact between soft solids is an interesting topic in biomechanics and for the design of small-scale engineering devices. As a model of this mechanical set-up, two elastic nonlinear solids are considered jointed through a frictionless and bilateral surface, so that continuity of the normal component of the Cauchy traction holds across the surface, but the tangential component is null. Moreover, the displacement can develop only in a way that the bodies in contact do neither detach, nor overlap. Surprisingly, this finite strain problem has not been correctly formulated until now, so this formulation is the objective of the present paper. The incremental equations are shown to be non-trivial and different from previously (and erroneously) employed conditions. In particular, an exclusion condition for bifurcation is derived to show that previous formulations based on frictionless contact or 'spring-type' interfacial conditions are not able to predict bifurcations in tension, while experiments-one of which, designed, is reported-show that these bifurcations are a reality and become possible when the correct sliding interface model is used. The presented results introduce a methodology for the determination of bifurcations and instabilities occurring during lubricated sliding between soft bodies in contact.

摘要

软固体之间的润滑滑动接触是生物力学和小型工程设备设计中一个有趣的课题。作为这种机械装置的一个模型,考虑两个弹性非线性固体通过一个无摩擦的双侧表面连接,使得柯西牵引力的法向分量在整个表面上保持连续,但切向分量为零。此外,位移只能以接触物体既不分离也不重叠的方式发展。令人惊讶的是,这个有限应变问题直到现在还没有得到正确的表述,因此本文的目标就是给出这个表述。增量方程被证明是非平凡的,并且与以前(错误地)采用的条件不同。特别地,导出了一个分岔排除条件,以表明以前基于无摩擦接触或“弹簧型”界面条件的表述无法预测拉伸时的分岔,而实验——其中一个已设计好并报告——表明这些分岔是真实存在的,并且当使用正确的滑动界面模型时就会出现。所给出的结果引入了一种方法,用于确定接触的软物体之间润滑滑动过程中发生的分岔和不稳定性。

https://cdn.ncbi.nlm.nih.gov/pmc/blobs/9d6d/5806027/eb60ef854b58/rspa20170681-g1.jpg

文献AI研究员

20分钟写一篇综述,助力文献阅读效率提升50倍。

立即体验

用中文搜PubMed

大模型驱动的PubMed中文搜索引擎

马上搜索

文档翻译

学术文献翻译模型,支持多种主流文档格式。

立即体验