Suppr超能文献

配方通过蛋白酪氨酸磷酸酶1B-胰岛素受体底物1-蛋白激酶B-葡萄糖转运蛋白4信号通路改善2型糖尿病患者骨骼肌胰岛素抵抗。

Formula Improves Skeletal Muscle Insulin Resistance in Type 2 Diabetes Mellitus via PTP1B-IRS1-Akt-GLUT4 Signaling Pathway.

作者信息

Tian Chunyu, Chang Hong, La Xiaojin, Li Ji-An

机构信息

North China University of Science and Technology, Tangshan 063210, China.

Pharmacology Analysis Key Laboratory for Prevention and Treatment of Diabetes of Traditional Chinese Medicine in Hebei Province, Tangshan 063210, China.

出版信息

Evid Based Complement Alternat Med. 2017;2017:4393529. doi: 10.1155/2017/4393529. Epub 2017 Dec 31.

Abstract

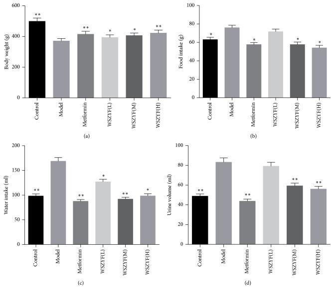
formula (WSZYF) is an effective traditional Chinese medicine in the treatment of type 2 diabetes mellitus (T2DM). This study aimed to identify the effects and underlying mechanisms of WSZYF on improving skeletal muscle insulin resistance in T2DM. An animal model of T2DM was induced by Goto-Kakizaki diabetes prone rats fed with high fat and sugar for 4 weeks. Insulin resistance model was induced in skeletal muscle cell. , WSZYF improved general conditions and decreased significantly fasting blood glucose, glycosylated serum protein, glycosylated hemoglobin, insulin concentration, and insulin resistance index of T2DM rats. , WSZYF enhanced glucose consumption in insulin resistance model of skeletal muscle cell. Furthermore, WSZYF affected the expressions of molecules in regulating T2DM, including increasing the expressions of p-IRS1, p-Akt, and GLUT4, reducing PTP1B expression. . These findings displayed the potential of WSZYF as a new drug candidate in the treatment of T2DM and the antidiabetic mechanism of WSZYF is probably mediated through modulating the PTP1B-IRS1-Akt-GLUT4 signaling pathway.

摘要

五参芪药方剂(WSZYF)是治疗2型糖尿病(T2DM)的一种有效中药。本研究旨在确定WSZYF改善T2DM患者骨骼肌胰岛素抵抗的作用及潜在机制。通过给Goto-Kakizaki糖尿病倾向大鼠喂食高脂高糖饲料4周诱导建立T2DM动物模型。在骨骼肌细胞中诱导建立胰岛素抵抗模型。结果显示,WSZYF改善了T2DM大鼠的一般状况,并显著降低了空腹血糖、糖化血清蛋白、糖化血红蛋白、胰岛素浓度和胰岛素抵抗指数。此外,WSZYF增强了骨骼肌细胞胰岛素抵抗模型中的葡萄糖消耗。此外,WSZYF影响了调节T2DM的分子表达,包括增加p-IRS1、p-Akt和GLUT4的表达,降低PTP1B表达。这些发现显示了WSZYF作为治疗T2DM的新药候选物的潜力,且WSZYF的抗糖尿病机制可能是通过调节PTP1B-IRS1-Akt-GLUT4信号通路介导的。

https://cdn.ncbi.nlm.nih.gov/pmc/blobs/4fb5/5804399/eb0741f8b118/ECAM2017-4393529.001.jpg

相似文献

1
Formula Improves Skeletal Muscle Insulin Resistance in Type 2 Diabetes Mellitus via PTP1B-IRS1-Akt-GLUT4 Signaling Pathway.
Evid Based Complement Alternat Med. 2017;2017:4393529. doi: 10.1155/2017/4393529. Epub 2017 Dec 31.
2
Formula Inhibits Pancreatic Cell Apoptosis in Type 2 Diabetes Mellitus via MEK-ERK-Caspase-3 Signaling Pathway.
Evid Based Complement Alternat Med. 2018 Sep 25;2018:4084259. doi: 10.1155/2018/4084259. eCollection 2018.
5
Ginsenoside F4 Alleviates Skeletal Muscle Insulin Resistance by Regulating PTP1B in Type II Diabetes Mellitus.
J Agric Food Chem. 2023 Oct 4;71(39):14263-14275. doi: 10.1021/acs.jafc.3c01262. Epub 2023 Sep 19.
10

引用本文的文献

2
Glucosamine substituted sulfonylureas: IRS-PI3K-PKC-AKT-GLUT4 insulin signalling pathway intriguing agent.
RSC Med Chem. 2024 Feb 1;15(2):695-703. doi: 10.1039/d3md00647f. eCollection 2024 Feb 21.
3
subcritical-water extracts as ameliorant of insulin resistance induced by high-glucose in zebrafish and dexamethasone in L6 myotubes.
J Tradit Complement Med. 2023 Jul 18;14(1):82-90. doi: 10.1016/j.jtcme.2023.07.006. eCollection 2024 Jan.
6
Mechanism of Electroacupuncture Regulating IRS-1 Phosphorylation in Skeletal Muscle to Improve Insulin Sensitivity.
Evid Based Complement Alternat Med. 2021 Mar 22;2021:8631475. doi: 10.1155/2021/8631475. eCollection 2021.
7
Cassia Abbreviata Enhances Glucose Uptake and Glucose Transporter 4 Translocation in C2C12 Mouse Skeletal Muscle Cells.
J Evid Based Integr Med. 2021 Jan-Dec;26:2515690X211006333. doi: 10.1177/2515690X211006333.
8
Genistein prevents bone loss in type 2 diabetic rats induced by streptozotocin.
Food Nutr Res. 2020 Dec 9;64. doi: 10.29219/fnr.v64.3666. eCollection 2020.

本文引用的文献

2
Total Flavonoids Extracted from Bunge Improve Insulin Resistance through Regulation on the IKK/NF-B Inflammatory Pathway.
Evid Based Complement Alternat Med. 2017;2017:2405124. doi: 10.1155/2017/2405124. Epub 2017 Mar 26.
3
Anti-Diabetic Effects of Jiang Tang Xiao Ke Granule via PI3K/Akt Signalling Pathway in Type 2 Diabetes KKAy Mice.
PLoS One. 2017 Jan 3;12(1):e0168980. doi: 10.1371/journal.pone.0168980. eCollection 2017.
5
Antidiabetic effects of flavonoids from Sophora flavescens EtOAc extract in type 2 diabetic KK-ay mice.
J Ethnopharmacol. 2015 Aug 2;171:161-70. doi: 10.1016/j.jep.2015.05.043. Epub 2015 Jun 5.
6
Celastrol Protects against Antimycin A-Induced Insulin Resistance in Human Skeletal Muscle Cells.
Molecules. 2015 May 7;20(5):8242-69. doi: 10.3390/molecules20058242.
8
Liraglutide Exerts Antidiabetic Effect via PTP1B and PI3K/Akt2 Signaling Pathway in Skeletal Muscle of KKAy Mice.
Int J Endocrinol. 2014;2014:312452. doi: 10.1155/2014/312452. Epub 2014 Aug 11.
9
Diagnosis and classification of diabetes mellitus.
Diabetes Care. 2014 Jan;37 Suppl 1:S81-90. doi: 10.2337/dc14-S081.

文献AI研究员

20分钟写一篇综述,助力文献阅读效率提升50倍。

立即体验

用中文搜PubMed

大模型驱动的PubMed中文搜索引擎

马上搜索

文档翻译

学术文献翻译模型,支持多种主流文档格式。

立即体验