Suppr超能文献

全股骨置换术是否是股骨转移癌患者的可靠治疗选择?

Is Total Femur Replacement a Reliable Treatment Option for Patients With Metastatic Carcinoma of the Femur?

机构信息

F. Sevelda, W. Waldstein, J. Panotopoulos, P. T. Funovics, R. Windhager, Department of Orthopaedic Surgery, Medical University of Vienna, Vienna, Austria A. Kaider, Center for Medical Statistics, Informatics and Intelligent Systems, Medical University of Vienna, Vienna, Austria.

出版信息

Clin Orthop Relat Res. 2018 May;476(5):977-983. doi: 10.1007/s11999.0000000000000125.

Abstract

BACKGROUND

The majority of metastatic bone lesions to the femoral bone can be treated without surgery or with minimally invasive intramedullary nailing. In rare patients with extensive metastatic disease to the femur, total femur replacement may be the only surgical alternative to amputation; however, little is known about this approach.

QUESTIONS/PURPOSES: In a highly selected small group of patients with metastatic carcinoma of the femur, we asked: (1) What was the patient survivorship after this treatment? (2) What was the implant survivorship free from all-cause revision and amputation, and what complications were associated with this treatment? (3) What functional outcomes were achieved by patients after total femur replacement for this indication?

METHODS

Eleven patients (three men, eight women) with a mean age of 64 years (range, 41-78 years) received total femur replacements between 1986 and 2016; none were lost to followup. The most common primary disease was breast cancer. In general, during this period, our indications for this procedure were extensive metastatic disease precluding internal fixation or isolated proximal or distal femur replacement, and an anticipated lifespan exceeding 6 months. Our contraindication for this procedure during this time was expected lifespan less than 6 months. Patient survival was assessed by Kaplan-Meier analysis; implant survival free from revision surgery and amputation were assessed by competing risk analysis. Function was determined preoperatively and 6 to 12 weeks postoperatively with the Musculoskeletal Tumor Society (MSTS) score normalized to a 100-point scale, with higher scores representing better function from a longitudinally maintained institutional database.

RESULTS

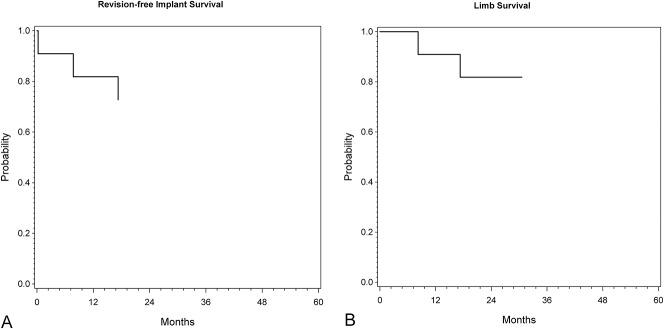
Eleven patients died at a median of 5 months (range, 1-31 months) after surgery. One-year revision-free and limb survival were 82% (95% CI, 51%-98%) and 91% (95% CI, 61%-99%), respectively. Reasons for reoperation were hip dislocation, infection and local recurrence in one patient each. The latter two complications resulted in amputation in two patients. The median MSTS score was 32 (range, 13-57).

CONCLUSIONS

Despite attempts to select patients who might have anticipated greater life expectancy, eight of 11 patients died by 6 months after surgery, and an additional two patients had undergone an amputation at 8 and at 17 months postoperatively. Most patients undergoing total femur replacement in this series did not recover from the procedure by the time they died, despite our best attempts to perform the procedure in patients whom we thought would live at least 6 months. Based on this, we believe that most patients with extensive metastatic disease to the femur should be offered palliative care, rather than major reconstruction.

LEVEL OF EVIDENCE

Level IV, therapeutic study.

摘要

背景

大多数股骨转移骨病变可以不经手术或微创髓内钉治疗。在极少数股骨广泛转移疾病的患者中,全股骨置换可能是截肢的唯一手术选择;然而,对于这种方法,人们知之甚少。

问题/目的:在一组高度选择的股骨转移癌患者中,我们提出了以下问题:(1)患者接受这种治疗后的生存情况如何?(2)无全因翻修和截肢的假体生存率是多少,以及与这种治疗相关的并发症有哪些?(3)对于这种适应证接受全股骨置换的患者,功能结局如何?

方法

1986 年至 2016 年间,11 例(3 例男性,8 例女性)平均年龄 64 岁(范围,41-78 岁)的患者接受了全股骨置换术;无失访患者。最常见的原发性疾病是乳腺癌。一般来说,在此期间,我们进行该手术的适应证为:广泛的转移疾病,无法进行内固定或单独的近端或远端股骨置换,预期寿命超过 6 个月。在此期间,我们进行该手术的禁忌证是预期寿命小于 6 个月。通过 Kaplan-Meier 分析评估患者生存率;通过竞争风险分析评估无翻修手术和截肢的假体生存率。术前和术后 6-12 周采用肌肉骨骼肿瘤学会(MSTS)评分进行功能评估,评分标准化为 100 分制,评分越高表示从纵向维持的机构数据库中获得的功能越好。

结果

11 例患者在术后中位数 5 个月(范围,1-31 个月)时死亡。1 年无翻修和肢体生存率分别为 82%(95%CI,51%-98%)和 91%(95%CI,61%-99%)。再次手术的原因分别为髋关节脱位、感染和局部复发各 1 例。后两种并发症导致 2 例患者截肢。中位 MSTS 评分为 32 分(范围,13-57 分)。

结论

尽管我们试图选择那些预期寿命较长的患者,但在手术后 6 个月内,11 例患者中有 8 例死亡,另外 2 例患者在术后 8 个月和 17 个月接受了截肢。在该系列接受全股骨置换术的大多数患者中,尽管我们尽最大努力在我们认为至少能存活 6 个月的患者中进行手术,但他们在死亡时仍未从手术中恢复过来。基于此,我们认为大多数股骨广泛转移疾病的患者应接受姑息治疗,而不是进行重大重建。

证据水平

IV 级,治疗性研究。

https://cdn.ncbi.nlm.nih.gov/pmc/blobs/8c20/5916617/231714786dcb/abjs-476-0977-g002.jpg

文献AI研究员

20分钟写一篇综述,助力文献阅读效率提升50倍。

立即体验

用中文搜PubMed

大模型驱动的PubMed中文搜索引擎

马上搜索

文档翻译

学术文献翻译模型,支持多种主流文档格式。

立即体验