Suppr超能文献

起始因子eIF2、eIF2A、eIF2D、eIF4A和eIF4G不参与丙型肝炎病毒内部核糖体进入位点在人细胞中驱动的翻译过程。

The Initiation Factors eIF2, eIF2A, eIF2D, eIF4A, and eIF4G Are Not Involved in Translation Driven by Hepatitis C Virus IRES in Human Cells.

作者信息

González-Almela Esther, Williams Hugh, Sanz Miguel A, Carrasco Luis

机构信息

Centro de Biología Molecular Severo Ochoa (CSIC-UAM), Universidad Autónoma de Madrid, Madrid, Spain.

出版信息

Front Microbiol. 2018 Feb 13;9:207. doi: 10.3389/fmicb.2018.00207. eCollection 2018.

Abstract

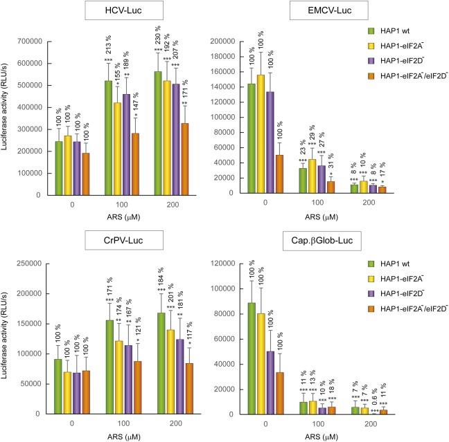
Animal viruses have evolved a variety of strategies to ensure the efficient translation of their mRNAs. One such strategy is the use of internal ribosome entry site (IRES) elements, which circumvent the requirement for some eukaryotic initiation factors (eIFs). Much effort has been directed to unravel the precise mechanism of translation initiation by hepatitis C virus (HCV) mRNA. In the present study, we examined the involvement of several eIFs in HCV IRES-driven translation in human cells in a comparative analysis with mRNAs bearing the encephalomyocarditis virus or the Cricket paralysis virus IRES element. Consistent with previous findings, several inhibitors of eIF2 activity, including sodium arsenite, thapsigargin, tunicamycin, and salubrinal, had no inhibitory effect on the translation of an mRNA bearing the HCV IRES, and all induced the phosphorylation of eIF2α. In addition, hippuristanol and pateamine A, two known inhibitors of eIF4A, failed to block HCV IRES-directed translation. To test the release of nuclear proteins to the cytoplasm and to analyze the formation of stress granules, the location of the nuclear protein TIA1 was tested by immunocytochemistry. Both arsenite and pateamine A could efficiently induce the formation of stress granules containing TIA1 and eIF4G, whereas eIF3 and eIF2 failed to localize to these cytoplasmic bodies. The finding of eIF4A and eIF4G in stress granules suggests that they do not participate in mRNA translation. Human HAP1 cells depleted for eIF2A, eIF2D, or both factors, were able to synthesize luciferase from an mRNA bearing the HCV IRES even when eIF2α was phosphorylated. Overall, these results demonstrate that neither eIF2A nor eIF2D does not participate in the translation directed by HCV IRES. We conclude that eIF2, eIF4A, eIF2A, and eIF2D do not participate in the initiation of translation of HCV mRNA.

摘要

动物病毒已经进化出多种策略来确保其mRNA的有效翻译。其中一种策略是使用内部核糖体进入位点(IRES)元件,该元件规避了对某些真核起始因子(eIFs)的需求。人们付出了很多努力来阐明丙型肝炎病毒(HCV)mRNA翻译起始的精确机制。在本研究中,我们在与携带脑心肌炎病毒或蟋蟀麻痹病毒IRES元件的mRNA进行比较分析时,研究了几种eIFs在人细胞中HCV IRES驱动的翻译中的作用。与先前的发现一致,几种eIF2活性抑制剂,包括亚砷酸钠、毒胡萝卜素、衣霉素和水杨酰胺,对携带HCV IRES的mRNA的翻译没有抑制作用,并且都诱导了eIF2α的磷酸化。此外,两种已知的eIF4A抑制剂马兜铃酸和帕替米星A未能阻断HCV IRES指导的翻译。为了测试核蛋白向细胞质的释放并分析应激颗粒形成,通过免疫细胞化学检测了核蛋白TIA1的位置。亚砷酸盐和帕替米星A都能有效诱导含有TIA1和eIF4G的应激颗粒形成,而eIF3和eIF2未能定位到这些细胞质小体。在应激颗粒中发现eIF4A和eIF4G表明它们不参与mRNA翻译。耗尽eIF2A、eIF2D或这两种因子的人HAP1细胞,即使eIF2α被磷酸化,也能够从携带HCV IRES的mRNA合成荧光素酶。总体而言,这些结果表明eIF2A和eIF2D均不参与HCV IRES指导的翻译。我们得出结论,eIF2、eIF4A、eIF2A和eIF2D不参与HCV mRNA翻译的起始。

https://cdn.ncbi.nlm.nih.gov/pmc/blobs/bc17/5816946/1db1e62a7e86/fmicb-09-00207-g001.jpg

文献检索

告别复杂PubMed语法,用中文像聊天一样搜索,搜遍4000万医学文献。AI智能推荐,让科研检索更轻松。

立即免费搜索

文件翻译

保留排版,准确专业,支持PDF/Word/PPT等文件格式,支持 12+语言互译。

免费翻译文档

深度研究

AI帮你快速写综述,25分钟生成高质量综述,智能提取关键信息,辅助科研写作。

立即免费体验