Suppr超能文献

使用虚拟围栏控制田间绵羊移动

Controlling Within-Field Sheep Movement Using Virtual Fencing.

作者信息

Marini Danila, Llewellyn Rick, Belson Sue, Lee Caroline

机构信息

School of Environmental and Rural Science, University of New England, Armidale, NSW 2350, Australia.

CSIRO Locked Bag 2, Glen Osmond, SA 5064, Australia.

出版信息

Animals (Basel). 2018 Feb 26;8(3):31. doi: 10.3390/ani8030031.

Abstract

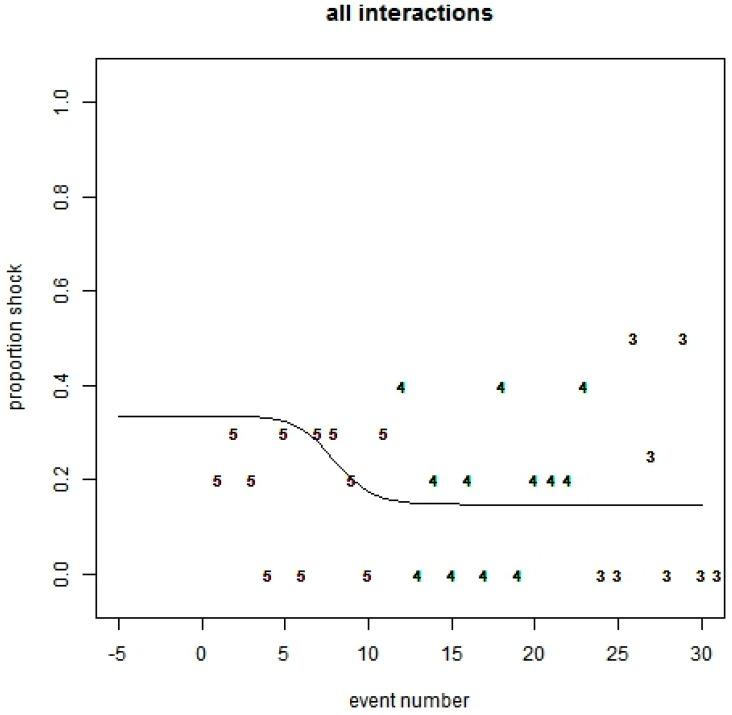
Virtual fencing has the potential to greatly improve livestock movement, grazing efficiency, and land management by farmers; however, relatively little work has been done to test the potential of virtual fencing with sheep. Commercial dog training equipment, comprising of a collar and GPS hand-held unit were used to implement a virtual fence in a commercial setting. Six, 5-6 year-old Merino wethers, which were naïve to virtual fencing were GPS tracked for their use of a paddock (80 × 20 m) throughout the experiment. The virtual fence was effective at preventing a small group of sheep from entering the exclusion zone. The probability of a sheep receiving an electrical stimulus following an audio cue was low (19%), and declined over the testing period. It took an average of eight interactions with the fence for an association to be made between the audio and stimulus cue, with all of the animals responding to the audio alone by the third day. Following the removal of the virtual fence, sheep were willing to cross the previous location of the virtual fence after 30 min of being in the paddock. This is an important aspect in the implementation of virtual fencing as a grazing management tool and further enforces that the sheep in this study were able to associate the audio with the virtual fence and not the physical location itself.

摘要

虚拟围栏有潜力极大地改善农民对牲畜的移动管理、放牧效率和土地管理;然而,针对用绵羊测试虚拟围栏的潜力所做的工作相对较少。使用由项圈和GPS手持设备组成的商用犬类训练设备在商业环境中设置虚拟围栏。在整个实验过程中,对6只5至6岁、对虚拟围栏毫无经验的美利奴阉羊在一个围场(80×20米)中的活动进行GPS追踪。虚拟围栏有效地阻止了一小群绵羊进入禁区。绵羊在听到音频提示后受到电刺激的概率较低(19%),并且在测试期间有所下降。平均需要与围栏进行8次交互才能在音频和刺激提示之间建立关联,到第三天时所有动物仅对音频就有反应。移除虚拟围栏后,绵羊在进入围场30分钟后就愿意穿过虚拟围栏先前所在的位置。这是将虚拟围栏作为放牧管理工具实施过程中的一个重要方面,进一步证明本研究中的绵羊能够将音频与虚拟围栏而非实际位置本身联系起来。

https://cdn.ncbi.nlm.nih.gov/pmc/blobs/bcc1/5867519/d87e7e25ad35/animals-08-00031-g001.jpg

文献AI研究员

20分钟写一篇综述,助力文献阅读效率提升50倍。

立即体验

用中文搜PubMed

大模型驱动的PubMed中文搜索引擎

马上搜索

文档翻译

学术文献翻译模型,支持多种主流文档格式。

立即体验