Suppr超能文献

胸腺瘤大小显著影响生存、转移及辅助治疗效果:一项基于人群的研究。

Thymoma size significantly affects the survival, metastasis and effectiveness of adjuvant therapies: a population based study.

作者信息

Bian Dongliang, Zhou Feng, Yang Weiguang, Zhang Kaixuan, Chen Linsong, Jiang Gening, Zhang Peng, Wu Chunyan, Fei Ke, Zhang Lei

机构信息

Department of Thoracic Surgery, Shanghai Pulmonary Hospital, Tongji University, Shanghai 200433, P.R. China.

School of Medicine, Tongji University, Shanghai 200092, P.R. China.

出版信息

Oncotarget. 2018 Jan 23;9(15):12273-12283. doi: 10.18632/oncotarget.24315. eCollection 2018 Feb 23.

Abstract

BACKGROUND

Thymoma, though a rare tumor disease, is the most common tumor of the anterior mediastinum. However, tumor size, as a critical factor, has been underestimated.

RESULTS

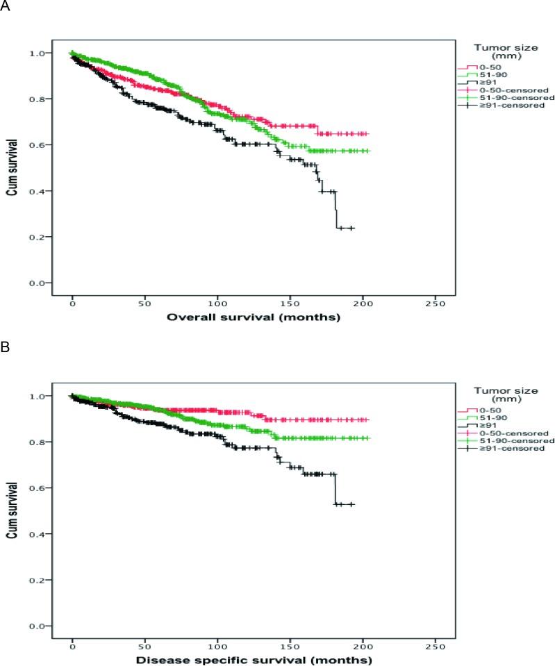
Age, advanced tumor stage, and preoperative radiotherapy were poor prognostic factors of overall survival (OS) and disease specific survival (DSS) ( < 0.05 for all). Besides, tumor size was significantly related to survival. The larger tumor size indicated the less OS and DSS ( < 0.001 for all). Multivariate analysis revealed elder age, advanced stage, larger size were independent adverse predictors for survival ( < 0.05 for all). Logistic analysis revealed larger tumor size had greater rate of metastasis ( < 0.001). In the group with tumors smaller than 90mm, chemotherapy was a negative predictive factor of DSS ( < 0.05 for all), and it significantly decreased OS especially with tumor sizes between 50 and 90 mm ( < 0.001).

MATERIALS AND METHODS

A total of 1,272 thymoma patients were enrolled from the Surveillance, Epidemiology, and End Results (SEER) database. Survival based on thymoma size and other characteristics of tumors were analyzed by univariate and multivariate analysis. Correlation between thymoma size and thymoma metastatic status was contributed by logistic regression analysis. The efficiency of adjuvant therapy was analysis by stratification analysis.

CONCLUSIONS

Thymoma size could predict postoperative survival and guide chemotherapeutic regimens of patients. Larger tumor size indicated worse survival and higher metastatic rate. If thymoma is smaller than 90mm, traditional chemotherapy should be prohibited. While chemotherapy could be performed moderately when thymoma larger than 90 mm.

摘要

背景

胸腺瘤虽是一种罕见的肿瘤疾病,但却是前纵隔最常见的肿瘤。然而,肿瘤大小作为一个关键因素一直被低估。

结果

年龄、肿瘤晚期阶段和术前放疗是总生存期(OS)和疾病特异性生存期(DSS)的不良预后因素(均P<0.05)。此外,肿瘤大小与生存期显著相关。肿瘤越大,OS和DSS越低(均P<0.001)。多因素分析显示年龄较大、分期较晚、肿瘤较大是生存的独立不良预测因素(均P<0.05)。逻辑分析显示肿瘤越大转移率越高(P<0.001)。在肿瘤小于90mm的组中,化疗是DSS的负性预测因素(P<0.05),尤其在肿瘤大小为50至90mm时显著降低OS(P<0.001)。

材料与方法

从监测、流行病学和最终结果(SEER)数据库中纳入了1272例胸腺瘤患者。通过单因素和多因素分析基于胸腺瘤大小和肿瘤其他特征的生存期。通过逻辑回归分析探讨胸腺瘤大小与胸腺瘤转移状态之间的相关性。通过分层分析分析辅助治疗的疗效。

结论

胸腺瘤大小可预测患者术后生存期并指导化疗方案。肿瘤越大,生存期越差,转移率越高。如果胸腺瘤小于90mm,应禁止传统化疗。而当胸腺瘤大于90mm时可适度进行化疗。

https://cdn.ncbi.nlm.nih.gov/pmc/blobs/5a1e/5844745/d77a76a29494/oncotarget-09-12273-g001.jpg

文献AI研究员

20分钟写一篇综述,助力文献阅读效率提升50倍。

立即体验

用中文搜PubMed

大模型驱动的PubMed中文搜索引擎

马上搜索

文档翻译

学术文献翻译模型,支持多种主流文档格式。

立即体验