Dickie Courtney M, Laughlin Alexander L, Wofford Joshua D, Bhuvanesh Nattamai S, Nippe Michael
Department of Chemistry , Texas A&M University , 3255 TAMU , College Station , TX , 77843 USA . Email:
Department of Chemistry and Biochemistry , University of California , 607 Charles E. Young Drive East , Los Angeles , California 90095 , USA.
Chem Sci. 2017 Dec 1;8(12):8039-8049. doi: 10.1039/c7sc03380j. Epub 2017 Oct 2.
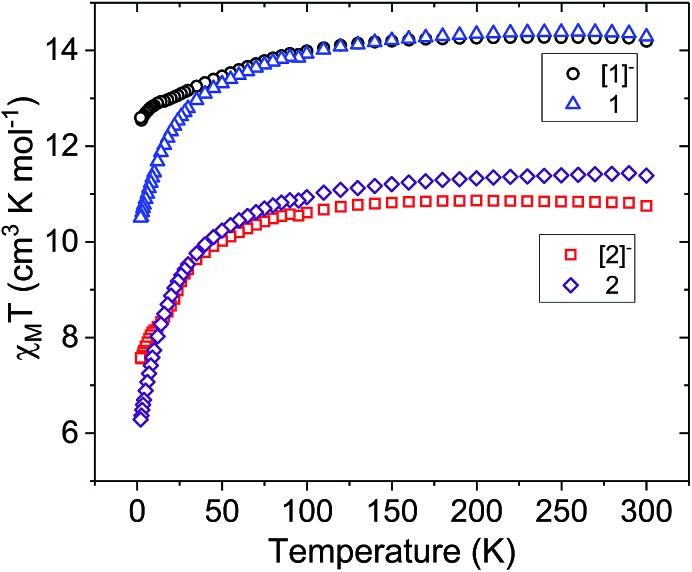
Single-molecule magnets (SMMs) are considered viable candidates for next-generation data storage and quantum computing. Systems featuring switchability of their magnetization dynamics are particularly interesting with respect to accessing more complex logic gates and device architectures. Here we show that transition metal based redox events can be exploited to enable reversible switchability of slow magnetic relaxation of magnetically anisotropic lanthanide ions. Specifically, we report anionic homoleptic bis-diamidoferrocene complexes of Dy (oblate) and Er (prolate) which can be reversibly oxidized by one electron to yield their respective charge neutral redox partners (Dy: , ; Er: , ). Importantly, compounds and are thermally stable which allowed for detailed studies of their magnetization dynamics. We show that the Dy / system can function as an "on"/"off" or a "slow"/"fast" redox switchable SMM system in the absence or presence of applied dc fields, respectively. The Er based / system features "on"/"off" switchability of SMM properties in the presence of applied fields. Results from electrochemical investigations, UV-vis-NIR spectroscopy, and Fe Mössbauer spectroscopy indicate the presence of significant electronic communication between the mixed-valent Fe ions in and in both solution and solid state. This comparative evaluation of redox-switchable magnetization dynamics in low coordinate lanthanide complexes may be used as a potential blueprint toward the development of future switchable magnetic materials.
单分子磁体(SMMs)被认为是下一代数据存储和量子计算的可行候选者。就访问更复杂的逻辑门和器件架构而言,其磁化动力学具有可切换性的系统尤其令人感兴趣。在此,我们表明基于过渡金属的氧化还原事件可被利用来实现磁各向异性镧系离子慢磁弛豫的可逆切换。具体而言,我们报道了Dy(扁球形)和Er(长球形)的阴离子同配双二氨基二茂铁配合物,它们可被单电子可逆氧化,生成各自的电荷中性氧化还原伙伴(Dy: , ;Er: , )。重要的是,化合物 和 具有热稳定性,这使得能够对其磁化动力学进行详细研究。我们表明,在不存在或存在外加直流场的情况下,Dy / 体系可分别作为“开”/“关”或“慢”/“快”氧化还原可切换的SMM体系。基于Er的 / 体系在施加场的情况下具有SMM性质的“开”/“关”可切换性。电化学研究、紫外可见近红外光谱和Fe穆斯堡尔光谱的结果表明,在溶液和固态中, 和 中混合价态的Fe离子之间存在显著的电子通信。这种对低配位镧系配合物中氧化还原可切换磁化动力学的比较评估可作为开发未来可切换磁性材料的潜在蓝图。