Suppr超能文献

21基因复发评分检测在早期乳腺癌患者辅助治疗决策中的临床和经济影响:4家巴斯克地区大学医院的汇总分析

Clinical and economic impact of the 21-gene recurrence score assay in adjuvant therapy decision making in patients with early-stage breast cancer: pooled analysis in 4 Basque Country university hospitals.

作者信息

Martínez Del Prado Purificación, Alvarez-López Isabel, Domínguez-Fernández Severina, Plazaola Arrate, Ibarrondo Oliver, Galve-Calvo Elena, Ancizar-Lizarraga Nerea, Gutierrez-Toribio María, Lahuerta-Martínez Ainhara, Mar Javier

机构信息

Medical Oncology Service, Basurto University Hospital, Bilbao, Spain.

Medical Oncology Service, Donostia University Hospital, Donostia-San Sebastián, Spain.

出版信息

Clinicoecon Outcomes Res. 2018 Mar 19;10:189-199. doi: 10.2147/CEOR.S146095. eCollection 2018.

Abstract

PURPOSE

The 21-gene recurrence score (RS) is a genomic test developed as a prognostic and predictive tool to improve the treatment decision making in cases of estrogen receptor-positive and human epidermal growth factor receptor 2-negative early-stage breast cancer. This study examined the clinical and economic impact of its use in 4 Basque Country university hospitals.

METHODS

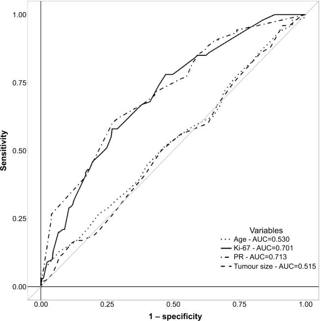
Taking into consideration the RS result, we recorded the recommended initial systemic adjuvant therapy (endocrine therapy with or without chemotherapy) according to standard clinicopathologic factors and the final decision about chemotherapy. Then, if the RS was high, chemotherapy was recommended; it was not recommended if the RS was low; for those with an intermediate RS, clinicopathologic factors were considered, and the initial recommendation based on those factors was maintained. In addition, the probability of switching treatment was calculated. Then, we developed an economic evaluation by measuring the treatment's incremental short-term budget impact from both the societal perspective and that of the Basque Health System. Patients' characteristics and chemotherapy use were analyzed using logistic regressions and receiver operating characteristic curves.

RESULTS

Without an RS, chemotherapy would have been prescribed to 56% of 401 patients, but, with RS use, that percentage decreased to 25. The overall rate of decision change was 35.4%. Test inclusion led to a reduction in chemotherapy costs of €922 per patient in the total population. Although this reduction did not entirely offset the cost of the test, the productivity loss per patient was reduced by €1,977.

CONCLUSION

The 21-gene RS test significantly changed the indication for chemotherapy. As chemotherapy treatments with no benefit were avoided, patients' quality of life was improved. The short-term economic impact was negative for the Basque Health Service, but savings resulted when sick-leave costs were included.

摘要

目的

21基因复发评分(RS)是一种基因组检测方法,作为一种预后和预测工具开发,用于改善雌激素受体阳性且人表皮生长因子受体2阴性的早期乳腺癌患者的治疗决策。本研究考察了其在4家巴斯克地区大学医院使用的临床和经济影响。

方法

根据RS结果,我们依据标准临床病理因素记录推荐的初始全身辅助治疗(内分泌治疗加或不加化疗)以及关于化疗的最终决策。然后,如果RS高,则推荐化疗;如果RS低,则不推荐化疗;对于RS中等的患者,考虑临床病理因素,并维持基于这些因素的初始推荐。此外,计算了改变治疗方案的概率。然后,我们从社会视角和巴斯克卫生系统视角,通过衡量治疗的短期增量预算影响进行了经济评估。使用逻辑回归和受试者工作特征曲线分析患者特征和化疗使用情况。

结果

若不使用RS,401例患者中有56%会接受化疗,但使用RS后,这一比例降至25%。决策改变的总体发生率为35.4%。纳入该检测使总体人群中每位患者的化疗成本降低了922欧元。虽然这一降低并未完全抵消检测成本,但每位患者的生产力损失降低了1977欧元。

结论

21基因RS检测显著改变了化疗指征。由于避免了无益处的化疗治疗,患者的生活质量得到改善。对巴斯克卫生服务机构而言,短期经济影响为负面,但计入病假成本后则产生了节省。

https://cdn.ncbi.nlm.nih.gov/pmc/blobs/a442/5863711/6d7662ab0a20/ceor-10-189Fig1.jpg

文献AI研究员

20分钟写一篇综述,助力文献阅读效率提升50倍。

立即体验

用中文搜PubMed

大模型驱动的PubMed中文搜索引擎

马上搜索

文档翻译

学术文献翻译模型,支持多种主流文档格式。

立即体验