• 文献检索
  • 文档翻译
  • 深度研究
  • 学术资讯
  • Suppr Zotero 插件Zotero 插件
  • 邀请有礼
  • 套餐&价格
  • 历史记录
应用&插件
Suppr Zotero 插件Zotero 插件浏览器插件Mac 客户端Windows 客户端微信小程序
定价
高级版会员购买积分包购买API积分包
服务
文献检索文档翻译深度研究API 文档MCP 服务
关于我们
关于 Suppr公司介绍联系我们用户协议隐私条款
关注我们

Suppr 超能文献

核心技术专利:CN118964589B侵权必究
粤ICP备2023148730 号-1Suppr @ 2026

文献检索

告别复杂PubMed语法,用中文像聊天一样搜索,搜遍4000万医学文献。AI智能推荐,让科研检索更轻松。

立即免费搜索

文件翻译

保留排版,准确专业,支持PDF/Word/PPT等文件格式,支持 12+语言互译。

免费翻译文档

深度研究

AI帮你快速写综述,25分钟生成高质量综述,智能提取关键信息,辅助科研写作。

立即免费体验

糖尿病患者与非糖尿病患者常规门诊血压测量的当前实践:英国初级医疗保健中的一项调查及前瞻性“神秘顾客”研究

Current practice of usual clinic blood pressure measurement in people with and without diabetes: a survey and prospective 'mystery shopper' study in UK primary care.

作者信息

Stevens Sarah L, McManus Richard J, Stevens Richard John

机构信息

Nuffield Department of Primary Care Health Sciences, University of Oxford, Oxford, UK.

出版信息

BMJ Open. 2018 Apr 12;8(4):e020589. doi: 10.1136/bmjopen-2017-020589.

DOI:10.1136/bmjopen-2017-020589
PMID:29654037
原文链接:https://pmc.ncbi.nlm.nih.gov/articles/PMC5898319/
Abstract

OBJECTIVES

Hypertension trials and epidemiological studies use multiple clinic blood pressure (BP) measurements at each visit. Repeat measurement is also recommended in international guidance; however, little is known about how BP is measured routinely. This is important for individual patient management and because routinely recorded readings form part of research databases. We aimed to determine the current practice of BP measurement during routine general practice appointments.

DESIGN

(1) An online cross-sectional survey and (2) a prospective 'mystery shopper' study where patients agreed to report how BP was measured during their next appointment.

SETTING

Primary care.

PARTICIPANTS

Patient charity/involvement group members completing an online survey between July 2015 and January 2016. 334 participants completed the prospective study (51.5% male, mean age=59.3 years) of which 279 (83.5%) had diabetes.

PRIMARY OUTCOME

Proportion of patients having BP measured according to guidelines.

RESULTS

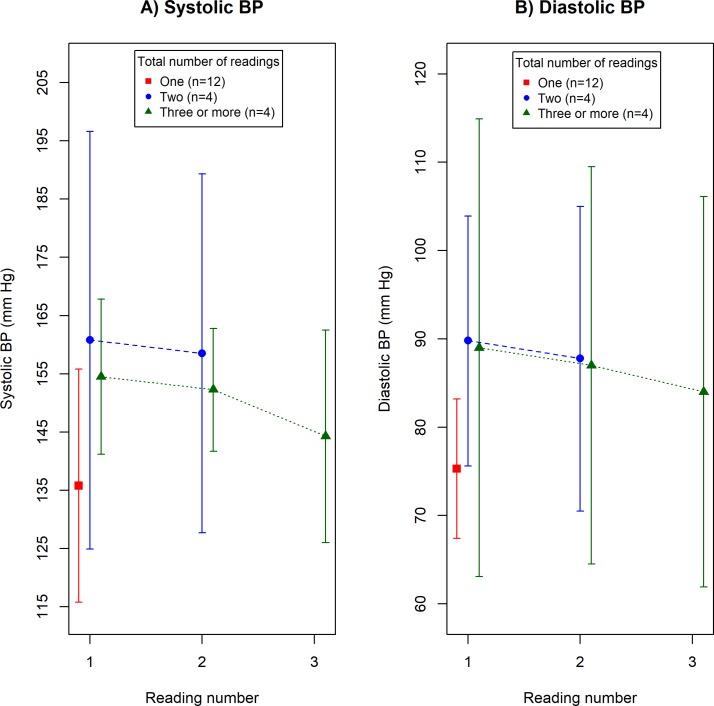
217 participants with (183) and without diabetes (34) had their BP measured at their last appointment. BP was measured in line with UK guidance in 63.7% and 60.0% of participants with and without diabetes, respectively. Initial pressures were significantly higher in those who had their BP measured more than once compared with only once (p=0.016/0.089 systolic and p<0.001/p=0.022 diastolic, in patients with/without diabetes, respectively).

CONCLUSIONS

Current practice of routine BP measurement in UK primary care is often concordant with guidelines for repeat measurement. Further studies are required to confirm findings in broader populations, to confirm when a third repeat reading is obtained routinely and to assess adherence to other aspects of BP measurement guidance.

摘要

目的

高血压试验和流行病学研究在每次就诊时都采用多次诊室血压测量。国际指南也建议进行重复测量;然而,对于血压的常规测量方式却知之甚少。这对于个体患者管理很重要,因为常规记录的读数构成了研究数据库的一部分。我们旨在确定在常规全科诊疗预约期间血压测量的当前做法。

设计

(1)一项在线横断面调查和(2)一项前瞻性“神秘顾客”研究,即患者同意报告下次预约时血压是如何测量的。

背景

初级医疗保健。

参与者

2015年7月至2016年1月期间完成在线调查的患者慈善组织/患者参与小组成员。334名参与者完成了前瞻性研究(男性占51.5%,平均年龄 = 59.3岁),其中279名(83.5%)患有糖尿病。

主要结局

按照指南测量血压的患者比例。

结果

217名参与者(其中183名患有糖尿病,34名未患糖尿病)在最后一次预约时测量了血压。分别有63.7%患有糖尿病和60.0%未患糖尿病的参与者按照英国指南测量了血压。与仅测量一次的参与者相比,测量多次的参与者的初始血压明显更高(患有糖尿病的患者收缩压分别为p = 0.016/0.089,舒张压分别为p<0.001/p = 0.022;未患糖尿病的患者收缩压分别为p = 0.016/0.089,舒张压分别为p<0.001/p = 0.022)。

结论

英国初级医疗保健中常规血压测量的当前做法通常符合重复测量的指南。需要进一步研究以在更广泛人群中证实研究结果,确定何时常规获取第三次重复读数,并评估对血压测量指南其他方面的依从性。

https://cdn.ncbi.nlm.nih.gov/pmc/blobs/09b6/5898319/54a5ac9af553/bmjopen-2017-020589f03.jpg
https://cdn.ncbi.nlm.nih.gov/pmc/blobs/09b6/5898319/bb67c26eec00/bmjopen-2017-020589f01.jpg
https://cdn.ncbi.nlm.nih.gov/pmc/blobs/09b6/5898319/19f6dee70bb9/bmjopen-2017-020589f02.jpg
https://cdn.ncbi.nlm.nih.gov/pmc/blobs/09b6/5898319/54a5ac9af553/bmjopen-2017-020589f03.jpg
https://cdn.ncbi.nlm.nih.gov/pmc/blobs/09b6/5898319/bb67c26eec00/bmjopen-2017-020589f01.jpg
https://cdn.ncbi.nlm.nih.gov/pmc/blobs/09b6/5898319/19f6dee70bb9/bmjopen-2017-020589f02.jpg
https://cdn.ncbi.nlm.nih.gov/pmc/blobs/09b6/5898319/54a5ac9af553/bmjopen-2017-020589f03.jpg

相似文献

1
Current practice of usual clinic blood pressure measurement in people with and without diabetes: a survey and prospective 'mystery shopper' study in UK primary care.糖尿病患者与非糖尿病患者常规门诊血压测量的当前实践:英国初级医疗保健中的一项调查及前瞻性“神秘顾客”研究
BMJ Open. 2018 Apr 12;8(4):e020589. doi: 10.1136/bmjopen-2017-020589.
2
Variation between pragmatic and standardised blood pressure measurements in a Nigerian primary care clinic.尼日利亚初级保健诊所中实用血压测量与标准化血压测量之间的差异。
S Afr Fam Pract (2004). 2020 Mar 12;62(1):e1-e11. doi: 10.4102/safp.v62i1.5035.
3
Self-monitoring in hypertension: a web-based survey of primary care physicians.高血压的自我监测:一项针对基层医疗医生的网络调查
J Hum Hypertens. 2014 Feb;28(2):123-7. doi: 10.1038/jhh.2013.54. Epub 2013 Jul 4.
4
Diagnosing Hypertension in Primary Care Clinics According to Current Guidelines.根据现行指南在基层医疗诊所诊断高血压
J Am Board Fam Med. 2017 Mar-Apr;30(2):170-177. doi: 10.3122/jabfm.2017.02.160111.
5
Pitfalls in blood pressure measurement in daily practice.日常实践中血压测量的陷阱。
Fam Pract. 2006 Feb;23(1):20-7. doi: 10.1093/fampra/cmi096. Epub 2005 Dec 6.
6
Trends in end digit preference for blood pressure and associations with cardiovascular outcomes in Canadian and UK primary care: a retrospective observational study.加拿大和英国初级保健中血压尾数偏好的趋势及其与心血管结局的关联:一项回顾性观察研究。
BMJ Open. 2019 Jan 24;9(1):e024970. doi: 10.1136/bmjopen-2018-024970.
7
Blood Pressure Measurement Biases in Clinical Settings, Alabama, 2010-2011.2010 - 2011年阿拉巴马州临床环境中的血压测量偏差
Prev Chronic Dis. 2016 Jan 7;13:E01. doi: 10.5888/pcd13.150348.
8
Preference of blood pressure measurement methods by primary care doctors in Hong Kong: a cross-sectional survey.香港基层医生对血压测量方法的偏好:一项横断面调查。
BMC Fam Pract. 2020 May 26;21(1):95. doi: 10.1186/s12875-020-01153-6.
9
Variation in Blood Pressure Classification Using 7 Blood Pressure Estimation Protocols Among Adults in Taiwan.台湾成年人使用 7 种血压估计方案的血压分类变化。
JAMA Netw Open. 2020 Nov 2;3(11):e2024311. doi: 10.1001/jamanetworkopen.2020.24311.
10
Blood pressure monitoring technique impacts hypertension treatment.血压监测技术影响高血压治疗。
J Gen Intern Med. 2012 Jun;27(6):623-9. doi: 10.1007/s11606-011-1937-9. Epub 2011 Dec 8.

引用本文的文献

1
Primary care clinician education interventions for improving blood pressure control for people prescribed antihypertensive treatment: a systematic review and meta-analysis.初级保健临床医生教育干预措施对接受抗高血压治疗患者血压控制的改善作用:一项系统评价和荟萃分析
BMJ Open. 2025 Aug 28;15(8):e087692. doi: 10.1136/bmjopen-2024-087692.
2
Successful Management of Incidentally-Detected Subclavian Stenosis During Anesthetic Preparation for Spinal Surgery: A Case Report.脊柱手术麻醉准备期间偶然发现的锁骨下狭窄的成功管理:一例报告
Int Med Case Rep J. 2025 Jun 12;18:699-704. doi: 10.2147/IMCRJ.S515664. eCollection 2025.
3

本文引用的文献

1
Trends in the diagnosis and management of hypertension: repeated primary care survey in South West England.高血压诊断与管理的趋势:英格兰西南部的重复初级保健调查
Br J Gen Pract. 2017 May;67(658):e306-e313. doi: 10.3399/bjgp17X690461. Epub 2017 Mar 27.
2
How do family physicians measure blood pressure in routine clinical practice? National survey of Canadian family physicians.在日常临床实践中,家庭医生如何测量血压?加拿大家庭医生全国性调查。
Can Fam Physician. 2017 Mar;63(3):e193-e199.
3
Blood pressure measurement: a call to arms.血压测量:战斗的号角。
Self-monitoring of blood pressure following a stroke or transient ischaemic attack (TASMIN5S): a randomised controlled trial.
中风或短暂性脑缺血发作后血压的自我监测(TASMIN5S):一项随机对照试验。
BMC Cardiovasc Disord. 2024 Dec 27;24(1):746. doi: 10.1186/s12872-024-04320-0.
4
Prevalence and factors associated with inter-arm systolic and diastolic blood pressure differences: results from the baseline Fasa Adult's Cohort Study (FACS).手臂间收缩压和舒张压差异的流行率及其相关因素:基于 Fasa 成人队列研究(FACS)的基线结果。
BMC Public Health. 2024 Feb 1;24(1):345. doi: 10.1186/s12889-024-17857-8.
5
Quality in screening and measuring blood pressure in China's primary health care: a national cross-sectional study using unannounced standardized patients.中国基层医疗卫生机构血压筛查与测量的质量:一项使用未通知标准化患者的全国性横断面研究。
Lancet Reg Health West Pac. 2023 Nov 23;43:100973. doi: 10.1016/j.lanwpc.2023.100973. eCollection 2024 Feb.
6
Clinical relevance of double-arm blood pressure measurement and prevalence of clinically important inter-arm blood pressure differences in Indian primary care.印度初级医疗保健中双臂血压测量的临床相关性及临床显著的双臂血压差异的流行情况。
J Clin Hypertens (Greenwich). 2022 Aug;24(8):993-1002. doi: 10.1111/jch.14497. Epub 2022 Jul 10.
7
Preference of blood pressure measurement methods by primary care doctors in Hong Kong: a cross-sectional survey.香港基层医生对血压测量方法的偏好:一项横断面调查。
BMC Fam Pract. 2020 May 26;21(1):95. doi: 10.1186/s12875-020-01153-6.
8
Evaluating the Effectiveness of an Additional Risk Minimization Measure to Reduce the Risk of Prescribing Mirabegron to Patients with Severe Uncontrolled Hypertension in Four European Countries.评估一项额外风险最小化措施在四个欧洲国家降低为严重未控制高血压患者开具米拉贝隆处方风险方面的有效性。
Clin Epidemiol. 2020 May 1;12:423-433. doi: 10.2147/CLEP.S242065. eCollection 2020.
9
Impact of Changes to National Hypertension Guidelines on Hypertension Management and Outcomes in the United Kingdom.英国国家高血压指南更新对高血压管理和结局的影响。
Hypertension. 2020 Feb;75(2):356-364. doi: 10.1161/HYPERTENSIONAHA.119.13926. Epub 2019 Dec 23.
10
Using out-of-office blood pressure measurements in established cardiovascular risk scores: a secondary analysis of data from two blood pressure monitoring studies.利用在办公室外测量的血压数据纳入已建立的心血管风险评分:两项血压监测研究数据的二次分析。
Br J Gen Pract. 2019 Jun;69(683):e381-e388. doi: 10.3399/bjgp19X702737. Epub 2019 May 7.
Br J Gen Pract. 2016 Nov;66(652):552-553. doi: 10.3399/bjgp16X687637.
4
Self-monitoring blood pressure in patients with hypertension: an internet-based survey of UK GPs.高血压患者的自我血压监测:一项针对英国全科医生的基于互联网的调查。
Br J Gen Pract. 2016 Nov;66(652):e831-e837. doi: 10.3399/bjgp16X687037. Epub 2016 Aug 30.
5
Do We Need a New Definition of Hypertension After SPRINT?在SPRINT研究之后,我们是否需要一个高血压的新定义?
Am J Hypertens. 2016 Oct;29(10):1127-9. doi: 10.1093/ajh/hpw068. Epub 2016 Jun 22.
6
Hypertension Canada's 2016 Canadian Hypertension Education Program Guidelines for Blood Pressure Measurement, Diagnosis, Assessment of Risk, Prevention, and Treatment of Hypertension.加拿大高血压协会《2016年加拿大高血压教育计划血压测量、诊断、风险评估、预防及治疗指南》
Can J Cardiol. 2016 May;32(5):569-88. doi: 10.1016/j.cjca.2016.02.066. Epub 2016 Mar 10.
7
Predicting Out-of-Office Blood Pressure in the Clinic (PROOF-BP): Derivation and Validation of a Tool to Improve the Accuracy of Blood Pressure Measurement in Clinical Practice.临床预测门诊外血压(PROOF-BP):一种提高临床实践中血压测量准确性工具的推导与验证
Hypertension. 2016 May;67(5):941-50. doi: 10.1161/HYPERTENSIONAHA.115.07108. Epub 2016 Mar 21.
8
A Randomized Trial of Intensive versus Standard Blood-Pressure Control.强化与标准血压控制的随机试验
N Engl J Med. 2015 Nov 26;373(22):2103-16. doi: 10.1056/NEJMoa1511939. Epub 2015 Nov 9.
9
Predictors of the Home-Clinic Blood Pressure Difference: A Systematic Review and Meta-Analysis.家庭与诊室血压差值的预测因素:一项系统评价与荟萃分析
Am J Hypertens. 2016 May;29(5):614-25. doi: 10.1093/ajh/hpv157. Epub 2015 Sep 22.
10
A review of blood pressure measurement protocols among hypertension trials: implications for "evidence-based" clinical practice.高血压试验中血压测量方案的综述:对“循证”临床实践的启示
J Am Soc Hypertens. 2014 Sep;8(9):670-6. doi: 10.1016/j.jash.2014.07.024. Epub 2014 Jul 9.