Suppr超能文献

硅烯中拓扑相变的体RKKY特征

Bulk RKKY signatures of topological phase transition in silicene.

作者信息

Duan Hou-Jian, Wang Chen, Zheng Shi-Han, Wang Rui-Qiang, Pan Da-Ru, Yang Mou

机构信息

Guangdong Provincial Key Laboratory of Quantum Engineering and Quantum Materials, School of Physics and Telecommunication Engineering, South China Normal University, Guangzhou, 510006, China.

School of Information Engineering, Guangdong University of Technology, Guangzhou, 510006, China.

出版信息

Sci Rep. 2018 Apr 18;8(1):6185. doi: 10.1038/s41598-018-24567-w.

Abstract

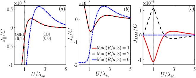
Silicene offers an ideal platform for exploring the phase transition due to strong spin-orbit interaction and its unique structure with strong tunability. With applied electric field and circularly polarized light, silicone is predicted to exhibit rich phases. We propose that these intricate phase transitions can be detected by measuring the bulk Ruderman-Kittel-Kasuya-Yosida (RKKY) interaction. We have in detail analyzed the dependence of RKKY interaction on phase parameters for different impurity configurations along zigzag direction. Importantly, we present an interesting comparison between different terms of RKKY interaction with phase diagram. It is found that the in-plane and out-of-plane terms can exhibit the local extreme value or change of sign at the phase critical point and remarkable difference in magnitude for different phase regions. Consequently, the magnetic measurement provides unambiguous signatures to identify various types of phase transition simultaneously, which can be carried out with present technique.

摘要

硅烯由于其强自旋轨道相互作用和具有强可调性的独特结构,为探索相变提供了一个理想平台。在施加电场和圆偏振光的情况下,预计硅烯会呈现出丰富的相。我们提出,可以通过测量体Ruderman-Kittel-Kasuya-Yosida(RKKY)相互作用来检测这些复杂的相变。我们详细分析了沿锯齿形方向不同杂质构型下RKKY相互作用对相参数的依赖性。重要的是,我们给出了RKKY相互作用不同项与相图之间的有趣比较。结果发现,面内和面外项在相变临界点可能会出现局部极值或符号变化,并且在不同相区域的大小存在显著差异。因此,磁性测量为同时识别各种类型的相变提供了明确的特征,这可以用现有技术来实现。

https://cdn.ncbi.nlm.nih.gov/pmc/blobs/0a8e/5906674/7b95cf0af3b8/41598_2018_24567_Fig1_HTML.jpg

文献检索

告别复杂PubMed语法,用中文像聊天一样搜索,搜遍4000万医学文献。AI智能推荐,让科研检索更轻松。

立即免费搜索

文件翻译

保留排版,准确专业,支持PDF/Word/PPT等文件格式,支持 12+语言互译。

免费翻译文档

深度研究

AI帮你快速写综述,25分钟生成高质量综述,智能提取关键信息,辅助科研写作。

立即免费体验