Suppr超能文献

局部晚期宫颈癌新辅助化疗及同步放化疗后的长期生存:“伊翁·基里库塔教授”肿瘤研究所的经验结果

Long-term survival following neoadjuvant chemotherapy and concomitant radiochemotherapy in locally advanced cervical cancer: results of the Oncology Institute "Prof. Dr. Ion Chiricuta" experience.

作者信息

Marita Andreea, Ordeanu Claudia, Rancea Alin, Nicolae Todor, Nagy Viorica-Magdalena

机构信息

Oncology Institute "Prof. Dr. Ion Chiricuta" Cluj- Napoca.

Iuliu Hatieganu University of Medicine and Pharmacy Cluj Napoca.

出版信息

J Med Life. 2018 Jan-Mar;11(1):42-50.

Abstract

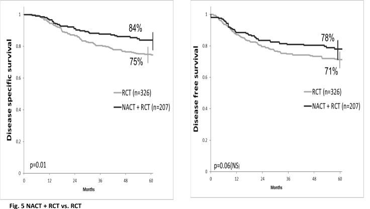
to analyze the efficiency of (NACT) followed by concurrent radiochemotherapy (RCT) in patients with locally advanced cervical cancer, 5-year overall, specific and disease-free survival and the prognostic factors correlated with the response and survival. 207 patients with cervical carcinoma stages IIB-IIIB, who received 2-4 cycles of neoadjuvant chemotherapy followed by concurrent chemoradiation were retrospectively analyzed for an objective response (OR), overall survival (OS), and disease-specific survival (DSS) rate. All patients received platinum-based NACT followed by concurrent RCT to a total dose (TD) of 46 Gy/pelvis when patients were evaluated for surgery. Patients with favorable parametrial response optionally underwent surgery. The rest of the patients continued radiochemotherapy exclusively. The baseline characteristics were: median age at diagnosis - 52 years; 82% squamous and 12% adenocarcinoma histologies; 67 patients (32.4%) with FIGO stage IIB, 87 (42%) with stage IIIA and 53 (25.6%) with stage IIIB. The OR rate was 56.5% post-NACT and the complete response (CR) after exclusive RCT was 19.7% while pathological complete response (pCR) in patients that underwent surgery was 61.2%. The median follow-up was 58.3 months. Overall and disease-specific survivals at 5 years were 78% and 84%, respectively. The OS for stages IIB and IIIA was 84%, and 61% for stage IIIB while the DSS rates were 90% for stage IIB, 86% for stage IIIA and 72% for stage IIIB. The disease-free intervals (DFS) rates were 88%, 76% and 69% for stages IIB, IIIA and IIIB, respectively. Neoadjuvant chemotherapy followed by concurrent chemoradiation produces higher response rates and improvements in disease-specific survival and disease-free survival rates compared to RCT.

摘要

为分析新辅助化疗(NACT)联合同步放化疗(RCT)治疗局部晚期宫颈癌患者的疗效、5年总生存率、特异性生存率和无病生存率以及与反应和生存相关的预后因素。对207例IIB-IIIB期宫颈癌患者进行回顾性分析,这些患者接受了2-4周期新辅助化疗,随后进行同步放化疗,分析其客观缓解率(OR)、总生存率(OS)和疾病特异性生存率(DSS)。所有患者接受以铂类为基础的NACT,然后在评估手术时进行同步RCT,盆腔总剂量(TD)为46 Gy。具有良好宫旁反应的患者可选择手术。其余患者仅继续进行放化疗。基线特征为:诊断时中位年龄52岁;82%为鳞状细胞癌组织学类型,12%为腺癌组织学类型;67例(32.4%)为国际妇产科联盟(FIGO)IIB期,87例(42%)为IIIA期,53例(25.6%)为IIIB期。NACT后OR率为56.5%,单纯RCT后的完全缓解(CR)率为19.7%,而接受手术患者的病理完全缓解(pCR)率为61.2%。中位随访时间为58.3个月。5年总生存率和疾病特异性生存率分别为78%和84%。IIB期和IIIA期的OS为84%,IIIB期为61%,而DSS率IIB期为90%,IIIA期为86%,IIIB期为72%。IIB期、IIIA期和IIIB期的无病间期(DFS)率分别为88%、76%和69%。与RCT相比,新辅助化疗联合同步放化疗产生更高的缓解率,并改善了疾病特异性生存率和无病生存率。

https://cdn.ncbi.nlm.nih.gov/pmc/blobs/69b3/5909945/9224c651c4f7/JMedLife-11-042-g001.jpg

文献检索

告别复杂PubMed语法,用中文像聊天一样搜索,搜遍4000万医学文献。AI智能推荐,让科研检索更轻松。

立即免费搜索

文件翻译

保留排版,准确专业,支持PDF/Word/PPT等文件格式,支持 12+语言互译。

免费翻译文档

深度研究

AI帮你快速写综述,25分钟生成高质量综述,智能提取关键信息,辅助科研写作。

立即免费体验