• 文献检索
  • 文档翻译
  • 深度研究
  • 学术资讯
  • Suppr Zotero 插件Zotero 插件
  • 邀请有礼
  • 套餐&价格
  • 历史记录
应用&插件
Suppr Zotero 插件Zotero 插件浏览器插件Mac 客户端Windows 客户端微信小程序
定价
高级版会员购买积分包购买API积分包
服务
文献检索文档翻译深度研究API 文档MCP 服务
关于我们
关于 Suppr公司介绍联系我们用户协议隐私条款
关注我们

Suppr 超能文献

核心技术专利:CN118964589B侵权必究
粤ICP备2023148730 号-1Suppr @ 2026

文献检索

告别复杂PubMed语法,用中文像聊天一样搜索,搜遍4000万医学文献。AI智能推荐,让科研检索更轻松。

立即免费搜索

文件翻译

保留排版,准确专业,支持PDF/Word/PPT等文件格式,支持 12+语言互译。

免费翻译文档

深度研究

AI帮你快速写综述,25分钟生成高质量综述,智能提取关键信息,辅助科研写作。

立即免费体验

硫酸皮肤素在痔切除术后疼痛控制中的疗效:一项前瞻性多中心比较试点研究。

Efficacy of Mesoglycan in Pain Control after Excisional Hemorrhoidectomy: A Pilot Comparative Prospective Multicenter Study.

作者信息

Gallo Gaetano, Mistrangelo Massimiliano, Passera Roberto, Testa Valentina, Pozzo Mauro, Perinotti Roberto, Lanati Ivan, Lazzari Ivano, Tonello Paolo, Ugliono Elettra, De Luca Emilia, Realis Luc Alberto, Clerico Giuseppe, Trompetto Mario

机构信息

Department of Colorectal Surgery, Santa Rita Clinic, Vercelli, Italy.

Department of Surgical and Medical Sciences, University "Magna Graecia" of Catanzaro, Catanzaro, Italy.

出版信息

Gastroenterol Res Pract. 2018 Mar 19;2018:6423895. doi: 10.1155/2018/6423895. eCollection 2018.

DOI:10.1155/2018/6423895
PMID:29743886
原文链接:https://pmc.ncbi.nlm.nih.gov/articles/PMC5884030/
Abstract

INTRODUCTION

Various pain management strategies for patients undergoing open excisional hemorrhoidectomy have been proposed, yet postoperative pain remains a frequent complaint.

OBJECTIVE

To determine whether mesoglycan (30 mg two vials i.m. once/day for the first 5 days postoperative, followed by 50 mg 1 oral tablet twice/day for 30 days) would reduce the edema of the mucocutaneous bridges and thus improve postoperative pain symptoms.

PATIENTS AND METHODS

For this prospective observational multicenter study, 101 patients undergoing excisional diathermy hemorrhoidectomy for III-IV degree hemorrhoidal disease were enrolled at 5 colorectal referral centers. Patients were assigned to receive either mesoglycan (study group SG) or a recommended oral dose of ketorolac tromethamine of 10 mg every 4-6 hours, not exceeding 40 mg per day and not exceeding 5 postoperative days according to the indications for short-term management of moderate/severe acute postoperative pain, plus stool softeners (control group CG).

RESULTS

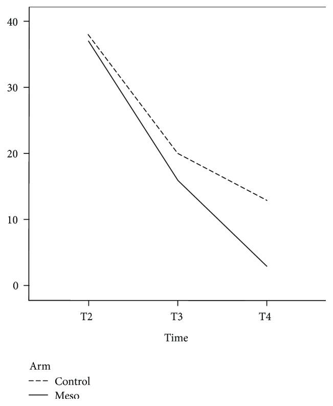
Postoperative thrombosis (SG 1/48 versus CG 5/45) ( < 0.001) and pain after rectal examination ( < 0.001) were significantly reduced at 7-10 days after surgery in the mesoglycan-treated group, permitting a faster return to work ( < 0.001); however, in the same group, the incidence of postoperative bleeding, considered relevant when needing a readmission or an unexpected outpatient visit, was higher, possibly owing to the drug's antithrombotic properties.

CONCLUSIONS

The administration of mesoglycan after an open diathermy excisional hemorrhoidectomy can reduce postoperative thrombosis and pain at 7-10 days after surgery, permitting a faster return to normal activities.

摘要

引言

针对接受开放性痔切除术的患者,已提出了多种疼痛管理策略,但术后疼痛仍是常见的主诉。

目的

确定低聚糖(术后前5天每天一次肌肉注射30毫克,分两瓶,之后30天每天口服50毫克,每日两片)是否会减轻黏膜皮肤桥的水肿,从而改善术后疼痛症状。

患者与方法

在这项前瞻性观察性多中心研究中,5个结直肠转诊中心招募了101例因III - IV度痔病接受电刀痔切除术的患者。根据中度/重度急性术后疼痛短期管理指征,患者被分配接受低聚糖治疗(研究组SG)或推荐的口服剂量的酮咯酸氨丁三醇,每4 - 6小时10毫克,每日不超过40毫克,术后不超过5天,外加软化大便药物(对照组CG)。

结果

在术后7 - 10天,低聚糖治疗组的术后血栓形成(SG组1/48 vs CG组5/45)(<0.001)和直肠检查后的疼痛(<0.001)显著减轻,使得患者能够更快恢复工作(<0.001);然而,在同一组中,当需要再次入院或意外门诊就诊时被视为相关的术后出血发生率较高,这可能归因于该药物的抗血栓特性。

结论

开放性电刀痔切除术后给予低聚糖可减少术后7 - 10天的血栓形成和疼痛,使患者能更快恢复正常活动。

https://cdn.ncbi.nlm.nih.gov/pmc/blobs/74d5/5884030/ec3db6242c5a/GRP2018-6423895.004.jpg
https://cdn.ncbi.nlm.nih.gov/pmc/blobs/74d5/5884030/9a2096ab3c7f/GRP2018-6423895.001.jpg
https://cdn.ncbi.nlm.nih.gov/pmc/blobs/74d5/5884030/8583f8d6f153/GRP2018-6423895.002.jpg
https://cdn.ncbi.nlm.nih.gov/pmc/blobs/74d5/5884030/e891267f9cfe/GRP2018-6423895.003.jpg
https://cdn.ncbi.nlm.nih.gov/pmc/blobs/74d5/5884030/ec3db6242c5a/GRP2018-6423895.004.jpg
https://cdn.ncbi.nlm.nih.gov/pmc/blobs/74d5/5884030/9a2096ab3c7f/GRP2018-6423895.001.jpg
https://cdn.ncbi.nlm.nih.gov/pmc/blobs/74d5/5884030/8583f8d6f153/GRP2018-6423895.002.jpg
https://cdn.ncbi.nlm.nih.gov/pmc/blobs/74d5/5884030/e891267f9cfe/GRP2018-6423895.003.jpg
https://cdn.ncbi.nlm.nih.gov/pmc/blobs/74d5/5884030/ec3db6242c5a/GRP2018-6423895.004.jpg

相似文献

1
Efficacy of Mesoglycan in Pain Control after Excisional Hemorrhoidectomy: A Pilot Comparative Prospective Multicenter Study.硫酸皮肤素在痔切除术后疼痛控制中的疗效:一项前瞻性多中心比较试点研究。
Gastroenterol Res Pract. 2018 Mar 19;2018:6423895. doi: 10.1155/2018/6423895. eCollection 2018.
2
Mesoglycan for pain control after open excisional HAEMOrrhoidectomy (MeHAEMO): an observational multicentre study on behalf of the Italian Society of Colorectal Surgery (SICCR).透明质酸酶用于开放式痔切除术(HAEMOrrhoidectomy)后疼痛控制(MeHAEMO):意大利结直肠外科学会(SICCR)代表的一项观察性多中心研究。
BMC Surg. 2020 Oct 22;20(1):251. doi: 10.1186/s12893-020-00914-5.
3
Short-term Outcomes of Transanal Hemorrhoidal Dearterialization With Mucopexy Versus Vessel-Sealing Device Hemorrhoidectomy for Grade III to IV Hemorrhoids: A Prospective Randomized Multicenter Trial.经肛痔动脉结扎固定术与吻合器痔上黏膜环切术治疗 3-4 度痔的短期疗效比较:一项前瞻性随机多中心试验
Dis Colon Rectum. 2019 Aug;62(8):988-996. doi: 10.1097/DCR.0000000000001362.
4
Clinical evidence and rationale of mesoglycan to treat chronic venous disease and hemorrhoidal disease: a narrative review.聚糖在治疗慢性静脉疾病和痔病中的临床证据和原理:叙述性综述。
Updates Surg. 2024 Apr;76(2):423-434. doi: 10.1007/s13304-024-01776-9. Epub 2024 Feb 14.
5
Diathermy excisional hemorrhoidectomy: a prospective randomized study comparing pedicle ligation and pedicle coagulation.双极电切痔切除术:对比结扎痔蒂和痔蒂电凝的前瞻性随机研究。
Dis Colon Rectum. 2011 Nov;54(11):1405-11. doi: 10.1097/DCR.0b013e318222b5a9.
6
Efficacy of metronidazole versus placebo in pain control after hemorrhoidectomy. Results of a controlled clinical trial.甲硝唑与安慰剂对痔切除术后疼痛控制的疗效。一项对照临床试验的结果。
Rev Esp Enferm Dig. 2015 Nov;107(11):681-5. doi: 10.17235/reed.2015.3926/2015.
7
Circumferential excisional hemorrhoidectomy for extensive acute thrombosis: a 14-year experience.环状切除痔切除术治疗广泛急性血栓形成:14 年经验。
Dis Colon Rectum. 2011 Sep;54(9):1162-9. doi: 10.1097/DCR.0b013e318221ea50.
8
Distal Doppler-guided transanal hemorrhoidal dearterialization with mucopexy versus conventional hemorrhoidectomy for grade III and IV hemorrhoids: postoperative morbidity and long-term outcomes.经肛门多普勒引导痔动脉结扎术联合黏膜固定术与传统痔切除术治疗 III、IV 度痔:术后并发症和长期疗效比较。
Tech Coloproctol. 2017 May;21(5):337-344. doi: 10.1007/s10151-017-1620-1. Epub 2017 Apr 27.
9
Benefits of flavonoid and metronidazole use after excisional hemorrhoidectomy: a randomized double-blind clinical trial.切除痔术后使用黄酮类和甲硝唑的益处:一项随机双盲临床试验。
Tech Coloproctol. 2021 Aug;25(8):949-955. doi: 10.1007/s10151-021-02465-0. Epub 2021 May 31.
10
A randomized, controlled trial of diathermy hemorrhoidectomy vs. stapled hemorrhoidectomy in an intended day-care setting with longer-term follow-up.在日间手术环境下进行的透热痔切除术与吻合器痔上黏膜环切术的随机对照试验及长期随访
Dis Colon Rectum. 2003 Apr;46(4):491-7. doi: 10.1007/s10350-004-6588-z.

引用本文的文献

1
The comparison of doppler-guided haemorrhoidal artery ligation and the tissue selecting technique for patients with grade III/IV haemorrhoids: a retrospective cohort study.多普勒引导下痔动脉结扎术与组织选择技术治疗Ⅲ/Ⅳ度痔的比较:一项回顾性队列研究
Updates Surg. 2025 Apr 10. doi: 10.1007/s13304-025-02202-4.
2
Use of mesoglycan in the acute phase of hemorrhoidal disease (the CHORMES study): study protocol for a double-blind, randomized controlled trial.硫酸软骨素在痔病急性期的应用(CHORMES研究):一项双盲、随机对照试验的研究方案
Trials. 2024 Dec 2;25(1):807. doi: 10.1186/s13063-024-08648-y.
3
Efficacy and Safety of Snap Needles in the Treatment of Postoperative Hemorrhoidal Pain: A Systematic Review and Meta-Analysis.

本文引用的文献

1
Evidence-Based Management of Pain After Excisional Haemorrhoidectomy Surgery: A PROSPECT Review Update.痔切除术后疼痛的循证管理:一项前瞻性综述更新
World J Surg. 2017 Feb;41(2):603-614. doi: 10.1007/s00268-016-3737-1.
2
Effects of Topical Atorvastatin (2 %) on Posthemorrhoidectomy Pain and Wound Healing: A Randomized Double-Blind Placebo-Controlled Clinical Trial.局部用阿托伐他汀(2%)对痔切除术后疼痛及伤口愈合的影响:一项随机双盲安慰剂对照临床试验
World J Surg. 2017 Feb;41(2):596-602. doi: 10.1007/s00268-016-3749-x.
3
Comparison of stapled haemorrhoidopexy with traditional excisional surgery for haemorrhoidal disease (eTHoS): a pragmatic, multicentre, randomised controlled trial.
吻合器痔上黏膜环切术治疗术后痔痛的疗效与安全性:一项系统评价与Meta分析
J Pain Res. 2024 Jun 7;17:2015-2028. doi: 10.2147/JPR.S464176. eCollection 2024.
4
Clinical evidence and rationale of mesoglycan to treat chronic venous disease and hemorrhoidal disease: a narrative review.聚糖在治疗慢性静脉疾病和痔病中的临床证据和原理:叙述性综述。
Updates Surg. 2024 Apr;76(2):423-434. doi: 10.1007/s13304-024-01776-9. Epub 2024 Feb 14.
5
Thrombosed external hemorrhoids during pregnancy: surgery versus conservative treatment.妊娠期血栓性外痔:手术与保守治疗的比较。
Updates Surg. 2024 Apr;76(2):539-545. doi: 10.1007/s13304-023-01741-y. Epub 2023 Dec 27.
6
Postoperative pain after haemorrhoidal disease treatment: a still unsolved problem.痔病治疗后的术后疼痛:一个仍未解决的问题。
Tech Coloproctol. 2023 Dec 10;28(1):6. doi: 10.1007/s10151-023-02889-w.
7
Production of Mesoglycan/PCL Based Composites through Supercritical Impregnation.通过超临界浸渍生产类透明质酸/PCL 基复合材料。
Molecules. 2022 Sep 7;27(18):5800. doi: 10.3390/molecules27185800.
8
Management and Treatment of External Hemorrhoidal Thrombosis.外痔血栓的管理与治疗
Front Surg. 2022 May 3;9:898850. doi: 10.3389/fsurg.2022.898850. eCollection 2022.
9
Strategies to Reduce Post-Hemorrhoidectomy Pain: A Systematic Review.减轻痔术后疼痛的策略:系统评价。
Medicina (Kaunas). 2022 Mar 12;58(3):418. doi: 10.3390/medicina58030418.
10
Heterologous production of chondroitin.硫酸软骨素的异源生产。
Biotechnol Rep (Amst). 2022 Feb 10;33:e00710. doi: 10.1016/j.btre.2022.e00710. eCollection 2022 Mar.
吻合器痔上黏膜环切术与传统痔切除术治疗痔病的比较(eTHoS):一项实用、多中心、随机对照试验。
Lancet. 2016 Nov 12;388(10058):2375-2385. doi: 10.1016/S0140-6736(16)31803-7. Epub 2016 Oct 7.
4
Milligan-Morgan (Open) Versus Ferguson Haemorrhoidectomy (Closed): A Systematic Review and Meta-Analysis of Published Randomized, Controlled Trials.米利根-摩根(开放式)与弗格森痔切除术(封闭式):已发表随机对照试验的系统评价和荟萃分析
World J Surg. 2016 Jun;40(6):1509-19. doi: 10.1007/s00268-016-3419-z.
5
Doppler-guided haemorrhoidal artery ligation with suture mucopexy compared with suture mucopexy alone for the treatment of Grade III haemorrhoids: a prospective randomized controlled trial.多普勒引导下痔动脉结扎联合缝合黏膜固定术与单纯缝合黏膜固定术治疗Ⅲ度痔的前瞻性随机对照试验
Colorectal Dis. 2016 Jul;18(7):710-6. doi: 10.1111/codi.13280.
6
Reduction of postoperative pain and improvement of patients' comfort after Milligan-Morgan hemorrhoidectomy using topical application of vitamin E ointment.
Int J Colorectal Dis. 2016 Jul;31(7):1371-2. doi: 10.1007/s00384-015-2483-4. Epub 2015 Dec 29.
7
Effect of Glyceryl Trinitrate Ointment on Pain Control After Hemorrhoidectomy: A Meta-analysis of Randomized Controlled Trials.硝酸甘油软膏对痔切除术后疼痛控制的影响:一项随机对照试验的Meta分析
World J Surg. 2016 Jan;40(1):215-24. doi: 10.1007/s00268-015-3344-6.
8
Efficacy of metronidazole versus placebo in pain control after hemorrhoidectomy. Results of a controlled clinical trial.甲硝唑与安慰剂对痔切除术后疼痛控制的疗效。一项对照临床试验的结果。
Rev Esp Enferm Dig. 2015 Nov;107(11):681-5. doi: 10.17235/reed.2015.3926/2015.
9
Mesoglycan improves vascular reactivity and insulin sensitivity in patients with metabolic syndrome.硫酸软骨素可改善代谢综合征患者的血管反应性和胰岛素敏感性。
Atherosclerosis. 2015 Dec;243(2):407-13. doi: 10.1016/j.atherosclerosis.2015.10.007. Epub 2015 Oct 9.
10
Systematic review and network meta-analysis comparing clinical outcomes and effectiveness of surgical treatments for haemorrhoids.系统评价和网络荟萃分析比较痔的手术治疗的临床结局和效果。
Br J Surg. 2015 Dec;102(13):1603-18. doi: 10.1002/bjs.9913. Epub 2015 Sep 30.