Suppr超能文献

两种温带附生蕨类植物的萌发适合度随温度升高和森林破碎化而变化。

Germination fitness of two temperate epiphytic ferns shifts under increasing temperatures and forest fragmentation.

机构信息

Unit of Botany, Department of Biodiversity, Ecology and Evolution, Faculty of Biology, Universidad Complutense, Madrid, Spain.

"Neural Plasticity Research Group, IdISSC", Unit of Biomathematics, Department of Biodiversity, Ecology and Evolution, Faculty of Biology, Universidad Complutense, Madrid, Spain.

出版信息

PLoS One. 2018 May 11;13(5):e0197110. doi: 10.1371/journal.pone.0197110. eCollection 2018.

Abstract

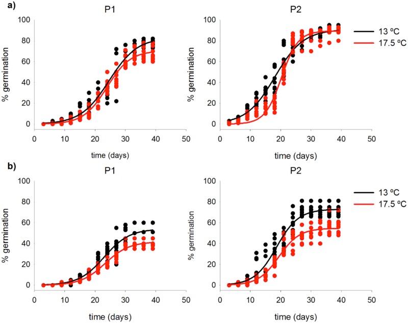
Ferns are an important component of ecosystems around the world. Studies of the impacts that global changes may have on ferns are scarce, yet emerging studies indicate that some species may be particularly sensitive to climate change. The lack of research in this subject is much more aggravated in the case of epiphytes, and especially those that live under temperate climates. A mathematical model was developed for two temperate epiphytic ferns in order to predict potential impacts on spore germination kinetics, in response to different scenarios of global change, coming from increasing temperature and forest fragmentation. Our results show that an increasing temperature will have a negative impact over the populations of these temperate epiphytic ferns. Under unfragmented forests the germination percentage was comparatively less influenced than in fragmented patches. This study highlight that, in the long term, populations of the studied epiphytic temperate ferns may decline due to climate change. Overall, epiphytic fern communities will suffer changes in diversity, richness and dominance. Our study draws attention to the role of ferns in epiphytic communities of temperate forests, emphasizing the importance of considering these plants in any conservation strategy, specifically forest conservation. From a methodological point of view, the model we propose could be easily used to dynamically monitor the status of ecosystems, allowing the quick prediction of possible future scenarios, which is a crucial issue in biodiversity conservation decision-making.

摘要

蕨类植物是全球生态系统的重要组成部分。目前,有关全球变化可能对蕨类植物产生影响的研究还很少,但新兴的研究表明,一些物种可能对气候变化特别敏感。在这一主题的研究中,附生植物的研究更为缺乏,尤其是生活在温带气候下的附生植物。为了预测全球变化情景(包括温度升高和森林破碎化)对孢子萌发动力学的潜在影响,我们针对两种温带附生蕨类植物建立了一个数学模型。我们的研究结果表明,温度升高将对这些温带附生蕨类植物的种群产生负面影响。在未破碎的森林中,与破碎斑块相比,发芽率受影响较小。本研究强调,由于气候变化,长期来看,所研究的温带附生蕨类植物的种群可能会减少。总体而言,附生蕨类植物群落的多样性、丰富度和优势度将发生变化。本研究提请注意蕨类植物在温带森林附生群落中的作用,强调在任何保护策略中都应考虑到这些植物,特别是森林保护。从方法论的角度来看,我们提出的模型可以很容易地用于动态监测生态系统的状况,从而能够快速预测可能的未来情景,这在生物多样性保护决策中是一个关键问题。

https://cdn.ncbi.nlm.nih.gov/pmc/blobs/53e8/5947888/cbfc186fce90/pone.0197110.g001.jpg

文献AI研究员

20分钟写一篇综述,助力文献阅读效率提升50倍。

立即体验

用中文搜PubMed

大模型驱动的PubMed中文搜索引擎

马上搜索

文档翻译

学术文献翻译模型,支持多种主流文档格式。

立即体验