Suppr超能文献

早期学业失败预示着青少年怀孕和早婚:来自马拉维北部的一项大型基于人群的队列研究。

Early school failure predicts teenage pregnancy and marriage: A large population-based cohort study in northern Malawi.

机构信息

Faculty of Epidemiology and Population Health, London School of Hygiene & Tropical Medicine, London, United Kingdom.

Malawi Epidemiology and Intervention Research Unit, Chilumba, Malawi.

出版信息

PLoS One. 2018 May 14;13(5):e0196041. doi: 10.1371/journal.pone.0196041. eCollection 2018.

Abstract

BACKGROUND

School dropout has been linked to early pregnancy and marriage but less is known about the effect of school performance. We aimed to assess whether school performance influenced age at sexual debut, pregnancy and marriage, and from what age school drop-out and performance were associated with these later life events.

METHODS

Data from 2007-2016 from a demographic surveillance site in northern Malawi with annual updating of schooling status and grades, and linked sexual behaviour surveys, were analysed to assess the associations of age-specific school performance (measured as age-for-grade) and status (in or out of school) on subsequent age at sexual debut, pregnancy and marriage. Landmark analysis with Cox regression was used to estimate hazard ratios of sexual debut, pregnancy and marriage by schooling at selected (landmark) ages, controlling for socio-economic factors.

RESULTS

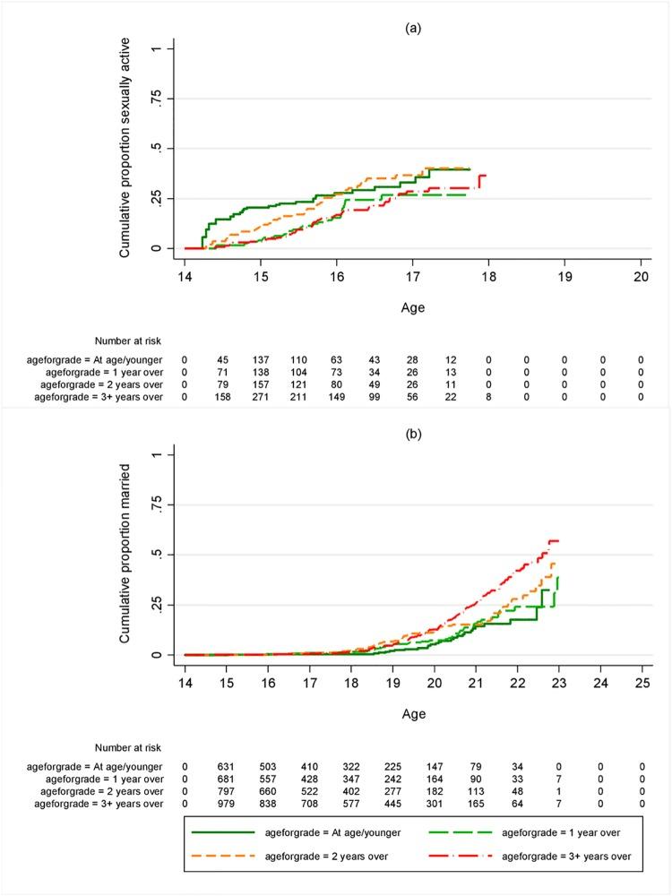
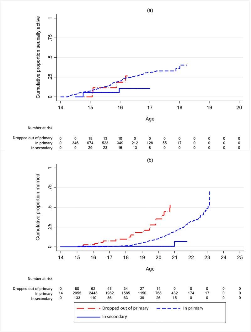
Information on at least one outcome was available for >16,000 children seen at ages 10-18. Sexual debut was available on a subset aged ≥15 by 2011. For girls, being out of school was strongly associated with earlier sexual debut, pregnancy and marriage. For example, using schooling status at age 14, compared to girls in primary, those who had dropped out had adjusted hazard ratios of subsequent sexual debut, pregnancy and marriage of 5.39 (95% CI 3.27-8.86), 2.39 (1.82-3.12), and 2.76 (2.08-3.67) respectively. For boys, the equivalent association with sexual debut was weak, 1.92 (0.81-4.55), but that with marriage was strong, 3.74 (2.28-6.11), although boys married later. Being overage-for-grade was not associated with sexual debut for girls or boys. For girls, being overage-for-grade from age 10 was associated with earlier pregnancy and marriage (e.g. adjusted hazard ratio 2.84 (1.32-6.17) for pregnancy and 3.19 (1.47-6.94) for marriage, for those ≥3 years overage compared to those on track at age 10). For boys, overage-for-grade was associated with earlier marriage from age 12, with stronger associations at older ages (e.g. adjusted hazard ratio 2.41 (1.56-3.70) for those ≥3 years overage compared to those on track at age 14). For girls ≥3 years overage at age 14, 39% were pregnant before they were 18, compared to 18% of those who were on track. The main limitation was the use of reported ages of sexual debut, pregnancy and marriage.

CONCLUSIONS

School progression at ages as young as 10 can predict teenage pregnancy and marriage, even after adjusting for socio-economic factors. Early education interventions may reduce teenage pregnancy and marriage as well as improving learning.

摘要

背景

辍学与早孕和早婚有关,但人们对学校表现对性初体验、怀孕和婚姻的影响知之甚少。我们旨在评估学校表现是否会影响性初体验、怀孕和婚姻的年龄,并从何时开始,辍学和表现与这些以后的生活事件有关。

方法

对 2007-2016 年来自马拉维北部一个人口监测点的数据进行了分析,该监测点每年更新学校状况和成绩,并与性行为调查相联系,以评估特定年龄(以年龄分级衡量)的学校表现和状态(在校或辍学)与随后的性初体验、怀孕和婚姻之间的关联。使用 Cox 回归进行地标分析,在校定(地标)年龄时,控制社会经济因素,估计性初体验、怀孕和婚姻的风险比。

结果

在 10-18 岁之间观察到的 >16000 名儿童中,至少有一个结局的信息是可用的。到 2011 年,有一个子集的年龄≥15 岁可以获得性初体验的信息。对于女孩,失学与性初体验、怀孕和婚姻更早发生强烈相关。例如,在 14 岁时使用学校教育状况,与小学的女孩相比,辍学的女孩随后发生性初体验、怀孕和婚姻的调整后的风险比分别为 5.39(95%CI 3.27-8.86)、2.39(1.82-3.12)和 2.76(2.08-3.67)。对于男孩,与性初体验的类似关联较弱,为 1.92(0.81-4.55),但与婚姻的关联较强,为 3.74(2.28-6.11),尽管男孩结婚较晚。对于女孩来说,10 岁时年龄偏大并不与性初体验有关,而与怀孕和婚姻较早有关(例如,与 10 岁时按计划上学的女孩相比,≥3 岁年龄偏大的女孩怀孕和结婚的调整风险比分别为 2.84(1.32-6.17)和 3.19(1.47-6.94))。对于男孩,12 岁时年龄偏大与较早的婚姻有关,年龄越大关联越强(例如,与 14 岁时按计划上学的男孩相比,≥3 岁年龄偏大的男孩结婚的调整风险比为 2.41(1.56-3.70))。对于 14 岁时年龄偏大≥3 岁的女孩,有 39%在 18 岁之前怀孕,而按计划上学的女孩则有 18%。主要限制因素是使用报告的性初体验、怀孕和婚姻年龄。

结论

即使在调整了社会经济因素后,10 岁时的学校教育进展也可以预测青少年怀孕和婚姻,早期教育干预措施可能会减少青少年怀孕和婚姻,并改善学习。

https://cdn.ncbi.nlm.nih.gov/pmc/blobs/8296/5951561/43557ade846f/pone.0196041.g001.jpg

文献AI研究员

20分钟写一篇综述,助力文献阅读效率提升50倍。

立即体验

用中文搜PubMed

大模型驱动的PubMed中文搜索引擎

马上搜索

文档翻译

学术文献翻译模型,支持多种主流文档格式。

立即体验