Suppr超能文献

人卵泡液脂质组成分的改变揭示了孕激素预处理卵巢刺激相对于短期方案在改善妇女临床结局方面的相关性。

Lipidomic Components Alterations of Human Follicular Fluid Reveal the Relevance of Improving Clinical Outcomes in Women Using Progestin-Primed Ovarian Stimulation Compared to Short-Term Protocol.

机构信息

Department of Assisted Reproduction, Shanghai Ninth People's Hospital, Shanghai JiaoTong University School of Medicine, Center for Specialty Strategy Research of Shanghai Jiao Tong University China Hospital Development Institute, Shanghai, China (mainland).

Department of Biochemistry and Molecular Biology, School of Basic Medical Sciences, Shanxi Medical University, Taiyuan, Shanxi, China (mainland).

出版信息

Med Sci Monit. 2018 May 21;24:3357-3365. doi: 10.12659/MSM.906602.

Abstract

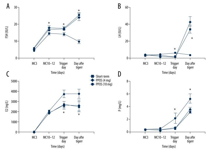
BACKGROUND Increasing the success rate of in vitro fertilization/intracytoplasmic sperm injection (IVF/ICSI) is a duty of clinicians that has made many seek a variety of protocols. This study was undertaken to use a liquid chromatography-mass spectrometry (LC-MS) to define the alterations of follicular fluid (FF) lipid metabolites in patients undergoing progestin-primed ovarian stimulation (PPOS) compared with short-term protocol, revealing potential correlations between the differentially expressed lipids and ameliorative clinical outcomes. MATERIAL AND METHODS Ninety-three infertile women undergoing IVF/ICSI treatment with PPOS (n=62) or a short-term protocol (n=31) were prospectively enrolled in a randomized controlled trial. FF samples were obtained from dominant follicles at the time of oocyte retrieval. Lipid metabolism profiles were analyzed using LC-MS. RESULTS Twelve lipids were found to be higher in patients treated with the PPOS protocol than in those receiving the short-term protocol, including triacylglycerols (TAG-34: 1+NH4, TAG-58: 0+NH4, TAG-64: 3+NH4, and TAG-64: 8+NH4), diacylglycerol DAG-38: 6+NH4, phosphatidylglycerols (PG-26: 0, PG-30: 2, and PG-40: 5), phosphatidylethanolamine PE-32: 2, lysophosphatidylethanolamine LPE-14: 1, lysophosphatidylinositol LPI-12: 0, and lysophosphatidylcholine LPC-16: 0. CONCLUSIONS Our data demonstrate that the PPOS protocol increases the levels of 12 lipids in FF, which reveals a strong association between the differentially elevated lipids and better IVF/ICSI outcomes.

摘要

背景

提高体外受精/卵胞浆内单精子注射(IVF/ICSI)的成功率是临床医生的职责,这促使许多人寻求各种方案。本研究旨在使用液相色谱-质谱(LC-MS)来定义接受孕激素预处理卵巢刺激(PPOS)与短期方案相比的卵泡液(FF)脂质代谢物的变化,揭示差异表达的脂质与改善临床结局之间的潜在相关性。

材料和方法

93 名接受 IVF/ICSI 治疗的不孕妇女,分为 PPOS 组(n=62)和短期方案组(n=31),前瞻性地纳入一项随机对照试验。在取卵时从优势卵泡中获取 FF 样本。使用 LC-MS 分析脂质代谢谱。

结果

与接受短期方案的患者相比,接受 PPOS 方案治疗的患者有 12 种脂质升高,包括三酰甘油(TAG-34:1+NH4、TAG-58:0+NH4、TAG-64:3+NH4 和 TAG-64:8+NH4)、二酰甘油 DAG-38:6+NH4、磷脂酰甘油(PG-26:0、PG-30:2 和 PG-40:5)、磷脂乙醇胺 PE-32:2、溶血磷脂乙醇胺 LPE-14:1、溶血磷脂肌醇 LPI-12:0 和溶血磷脂胆碱 LPC-16:0。

结论

我们的数据表明,PPOS 方案增加了 FF 中 12 种脂质的水平,这揭示了差异升高的脂质与更好的 IVF/ICSI 结局之间存在很强的关联。

https://cdn.ncbi.nlm.nih.gov/pmc/blobs/80b4/5989624/6592ec979cda/medscimonit-24-3357-g001.jpg

文献AI研究员

20分钟写一篇综述,助力文献阅读效率提升50倍。

立即体验

用中文搜PubMed

大模型驱动的PubMed中文搜索引擎

马上搜索

文档翻译

学术文献翻译模型,支持多种主流文档格式。

立即体验