San Diego Zoo Institute for Conservation Research, Escondido, California 92027, USA.
Royal Veterinary College, University of London, London NW1 0TU, United Kingdom.
Genome Res. 2018 Jun;28(6):780-788. doi: 10.1101/gr.227603.117. Epub 2018 May 24.
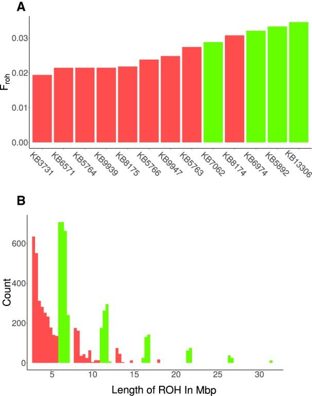
The critically endangered northern white rhinoceros is believed to be extinct in the wild, with the recent death of the last male leaving only two remaining individuals in captivity. Its extinction would appear inevitable, but the development of advanced cell and reproductive technologies such as cloning by nuclear transfer and the artificial production of gametes via stem cells differentiation offer a second chance for its survival. In this work, we analyzed genome-wide levels of genetic diversity, inbreeding, population history, and demography of the white rhinoceros sequenced from cryopreserved somatic cells, with the goal of informing how genetically valuable individuals could be used in future efforts toward the genetic rescue of the northern white rhinoceros. We present the first sequenced genomes of the northern white rhinoceros, which show relatively high levels of heterozygosity and an average genetic divergence of 0.1% compared with the southern subspecies. The two white rhinoceros subspecies appear to be closely related, with low genetic admixture and a divergent time <80,000 yr ago. Inbreeding, as measured by runs of homozygosity, appears slightly higher in the southern than the northern white rhinoceros. This work demonstrates the value of the northern white rhinoceros cryopreserved genetic material as a potential gene pool for saving this subspecies from extinction.
极度濒危的北方白犀牛被认为已在野外灭绝,最近最后一头雄性北方白犀牛的死亡,使得圈养种群中仅剩下两只北方白犀牛个体。它们的灭绝似乎已不可避免,但先进的细胞和生殖技术的发展,如核转移克隆和通过干细胞分化人工产生配子,为它们的生存提供了第二次机会。在这项工作中,我们分析了从冷冻保存的体细胞中测序的白犀牛的全基因组遗传多样性、近交程度、种群历史和人口统计学,目的是了解如何在未来的北方白犀牛遗传拯救工作中利用具有遗传价值的个体。我们展示了北方白犀牛的第一个测序基因组,与南方亚种相比,这些基因组显示出相对较高的杂合度水平和平均 0.1%的遗传分化。这两个白犀牛亚种似乎密切相关,遗传混合程度较低,分歧时间<80000 年前。根据纯合子运行的测量,南方白犀牛的近交程度略高于北方白犀牛。这项工作证明了北方白犀牛冷冻保存遗传物质的价值,可作为从灭绝中拯救该亚种的潜在基因库。