Suppr超能文献

卵巢囊肿切除术对卵巢储备功能的影响取决于组织学、囊肿大小及手术方式。

Ovarian cyst removal influences ovarian reserve dependent on histology, size and type of operation.

作者信息

Henes Melanie, Engler Tobias, Taran Florin-Andrei, Brucker Sara, Rall Katharina, Janz Birthe, Lawrenz Barbara

机构信息

1 Department of Gynecology and Obstetrics, University Hospital Tübingen, Tübingen, Germany.

2 University of Tübingen, Tübingen, Germany.

出版信息

Womens Health (Lond). 2018 Jan-Dec;14:1745506518778992. doi: 10.1177/1745506518778992.

Abstract

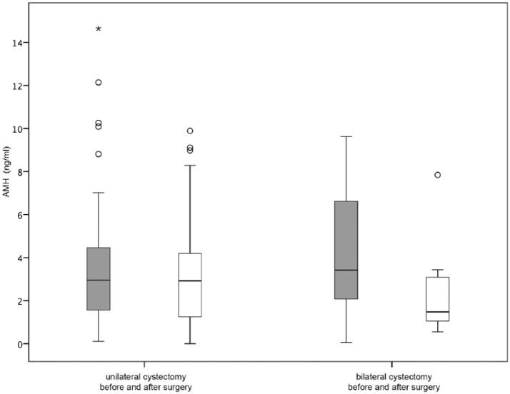
Previous publications suggest a reduction in the ovarian reserve following ovarian surgery. The influence of the underlying disease, histology, size of the ovarian cyst and type of procedure remains unclear. The aim of this study was to investigate the influence of an ovarian operation on the ovarian reserve, based on the anti-Müllerian hormone levels. The anti-Müllerian hormone values were determined by means of a standardized enzyme-linked immunosorbent assay. In total, 52 patients with one or more ovarian cysts of different histologic entities treated at the Department of Women's Health at the Women's University Hospital in Tübingen were included in the study. Anti-Müllerian hormone was determined before and after surgery. The patients were 28 (range = 18-40) years old on average. There was a statistically significant decrease in anti-Müllerian hormone from 3.94 ± 3.18 to 3.14 ± 2.57 ng/mL (p = 0.001). In 80.8%, the cysts were unilateral, and in over 90.4%, a complete cyst extirpation was performed. A statistically significant reduction was seen in follicular cysts (4.72 ± 3.84 to 3.76 ± 2.91 ng/mL; p = 0.039) and endometriosis cysts (2.55 ± 1.87 to 1.72 ± 1.39 ng/mL; p = 0.024). Also, the size of the cysts had an influence on the ovarian reserve, only larger ovarian cysts with a diameter of 5 cm or more showed a statistically significant reduction in anti-Müllerian hormone. Our data showed a significant decrease in anti-Müllerian hormone levels after surgery on the ovaries. If this results in a long-term reduced ovarian reserve or is merely a short-term reaction to the procedure needs to be clarified. However, concerning young women, the indication of surgery should be given cautiously as-at least temporarily-a reduction in the ovarian reserve can occur.

摘要

既往发表的文献提示卵巢手术后卵巢储备功能会下降。但潜在疾病、组织学类型、卵巢囊肿大小及手术方式的影响仍不明确。本研究的目的是基于抗苗勒管激素水平,探讨卵巢手术对卵巢储备功能的影响。抗苗勒管激素值通过标准化酶联免疫吸附测定法测定。共有52例患有一个或多个不同组织学类型卵巢囊肿的患者纳入了图宾根大学妇女医院妇女健康科的研究。在手术前后测定抗苗勒管激素。患者平均年龄28岁(范围18 - 40岁)。抗苗勒管激素从3.94±3.18降至3.14±2.57 ng/mL,差异有统计学意义(p = 0.001)。80.8%的囊肿为单侧,超过90.4%的患者进行了完整的囊肿切除。卵泡囊肿(4.72±3.84降至3.76±2.91 ng/mL;p = 0.039)和子宫内膜异位囊肿(2.55±1.87降至1.72±1.39 ng/mL;p = 0.024)抗苗勒管激素水平有统计学意义的降低。此外,囊肿大小对卵巢储备功能有影响,仅直径5 cm及以上的较大卵巢囊肿抗苗勒管激素有统计学意义的降低。我们的数据显示卵巢手术后抗苗勒管激素水平显著下降。这是否会导致长期卵巢储备功能降低或仅仅是对手术的短期反应尚需阐明。然而,对于年轻女性,手术指征应谨慎给出,因为至少短期内可能会出现卵巢储备功能降低。

https://cdn.ncbi.nlm.nih.gov/pmc/blobs/0c4b/5974568/d5e8a9089641/10.1177_1745506518778992-fig1.jpg

文献检索

告别复杂PubMed语法,用中文像聊天一样搜索,搜遍4000万医学文献。AI智能推荐,让科研检索更轻松。

立即免费搜索

文件翻译

保留排版,准确专业,支持PDF/Word/PPT等文件格式,支持 12+语言互译。

免费翻译文档

深度研究

AI帮你快速写综述,25分钟生成高质量综述,智能提取关键信息,辅助科研写作。

立即免费体验