• 文献检索
  • 文档翻译
  • 深度研究
  • 学术资讯
  • Suppr Zotero 插件Zotero 插件
  • 邀请有礼
  • 套餐&价格
  • 历史记录
应用&插件
Suppr Zotero 插件Zotero 插件浏览器插件Mac 客户端Windows 客户端微信小程序
定价
高级版会员购买积分包购买API积分包
服务
文献检索文档翻译深度研究API 文档MCP 服务
关于我们
关于 Suppr公司介绍联系我们用户协议隐私条款
关注我们

Suppr 超能文献

核心技术专利:CN118964589B侵权必究
粤ICP备2023148730 号-1Suppr @ 2026

文献检索

告别复杂PubMed语法,用中文像聊天一样搜索,搜遍4000万医学文献。AI智能推荐,让科研检索更轻松。

立即免费搜索

文件翻译

保留排版,准确专业,支持PDF/Word/PPT等文件格式,支持 12+语言互译。

免费翻译文档

深度研究

AI帮你快速写综述,25分钟生成高质量综述,智能提取关键信息,辅助科研写作。

立即免费体验

通过心肺耦合分析评估的睡眠不稳定性在儿童期和青少年期会增加。

Sleep Instabilities Assessed by Cardiopulmonary Coupling Analysis Increase During Childhood and Adolescence.

作者信息

Cysarz Dirk, Linhard Maijana, Seifert Georg, Edelhäuser Friedrich

机构信息

Integrated Curriculum for Anthroposophic Medicine, Institute of Integrative Medicine, University of Witten/Herdecke, Witten, Germany.

Department of Pediatric Oncology/Hematology, Otto-Heubner-Center for Pediatric and Adolescent Medicine, Charité Universitätsmedizin, Berlin, Germany.

出版信息

Front Physiol. 2018 May 8;9:468. doi: 10.3389/fphys.2018.00468. eCollection 2018.

DOI:10.3389/fphys.2018.00468
PMID:29867529
原文链接:https://pmc.ncbi.nlm.nih.gov/articles/PMC5951979/
Abstract

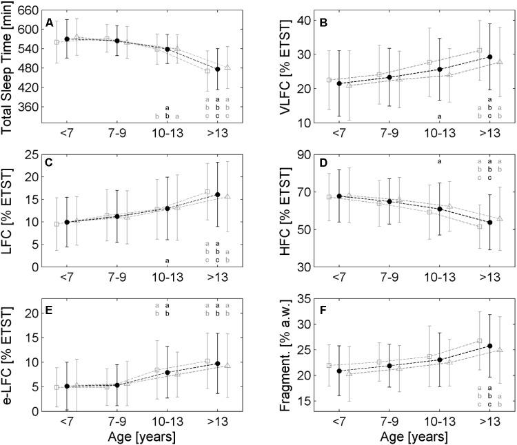
The electrocardiogram-based cardiopulmonary coupling (CPC) technique may be used to track sleep instabilities. With progressing age, maturational changes during childhood and adolescence affect sleep. The objective was to assess developmental changes in sleep instabilities in a natural setting. ECGs during nighttime sleep on regular school days were recorded from 363 subjects aged 4 to 22 years (204 females). The estimated total sleep time (ETST) decreased from 598 to 445 min during childhood and adolescence. Stable sleep linearly decreased with progressing age (high frequency coupling (HFC): 70-48% ETST). Unstable sleep [low frequency coupling (LFC): 9-19% ETST], sleep fragmentation or disordered breathing (elevated LFC: 4-12% ETST), and wake/REM states [very low frequency coupling (VLFC): 20-32% ETST] linearly increased with age. Hence, with progressing age the sleep of children and adolescents shortens, becomes more unstable and is more often affected by fragmentation or sleep disordered breathing, especially in the age group >13 years. It remains to be clarified whether some of the changes are caused by a social jetlag, i.e., the misalignment of body clock and social time especially in adolescents.

摘要

基于心电图的心肺耦合(CPC)技术可用于追踪睡眠不稳定性。随着年龄增长,儿童期和青少年期的成熟变化会影响睡眠。目的是在自然环境中评估睡眠不稳定性的发育变化。记录了363名4至22岁受试者(204名女性)在正常上学日夜间睡眠期间的心电图。儿童期和青少年期的估计总睡眠时间(ETST)从598分钟降至445分钟。稳定睡眠随年龄增长呈线性下降(高频耦合(HFC):占ETST的70 - 48%)。不稳定睡眠[低频耦合(LFC):占ETST的9 - 19%]、睡眠片段化或呼吸紊乱(LFC升高:占ETST的4 - 12%)以及清醒/快速眼动状态[极低频耦合(VLFC):占ETST的20 - 32%]随年龄呈线性增加。因此,随着年龄增长,儿童和青少年的睡眠时间缩短,变得更加不稳定,且更常受到片段化或睡眠呼吸紊乱的影响,尤其是在13岁以上的年龄组。身体时钟与社交时间的失调,特别是在青少年中,即社会时差,是否导致了其中一些变化仍有待阐明。

https://cdn.ncbi.nlm.nih.gov/pmc/blobs/f989/5951979/798bd46c303c/fphys-09-00468-g002.jpg
https://cdn.ncbi.nlm.nih.gov/pmc/blobs/f989/5951979/d32869a71604/fphys-09-00468-g001.jpg
https://cdn.ncbi.nlm.nih.gov/pmc/blobs/f989/5951979/798bd46c303c/fphys-09-00468-g002.jpg
https://cdn.ncbi.nlm.nih.gov/pmc/blobs/f989/5951979/d32869a71604/fphys-09-00468-g001.jpg
https://cdn.ncbi.nlm.nih.gov/pmc/blobs/f989/5951979/798bd46c303c/fphys-09-00468-g002.jpg

相似文献

1
Sleep Instabilities Assessed by Cardiopulmonary Coupling Analysis Increase During Childhood and Adolescence.通过心肺耦合分析评估的睡眠不稳定性在儿童期和青少年期会增加。
Front Physiol. 2018 May 8;9:468. doi: 10.3389/fphys.2018.00468. eCollection 2018.
2
Quantitative measurement of sleep quality using cardiopulmonary coupling analysis: a retrospective comparison of individuals with and without primary insomnia.使用心肺耦联分析对睡眠质量进行定量测量:原发性失眠患者与非原发性失眠患者的回顾性比较。
Sleep Breath. 2013 May;17(2):713-21. doi: 10.1007/s11325-012-0747-6. Epub 2012 Jul 26.
3
Cognitive deficit is correlated with sleep stability in insomnia: A cardiopulmonary coupling study.失眠中的认知缺陷与睡眠稳定性相关:一项心肺耦合研究。
Brain Behav. 2021 Jun;11(6):e02068. doi: 10.1002/brb3.2068. Epub 2021 May 7.
4
Sleep quality change after upper airway surgery in obstructive sleep apnea: Electrocardiogram-based cardiopulmonary coupling analysis.阻塞性睡眠呼吸暂停患者上气道手术后的睡眠质量变化:基于心电图的心肺耦合分析
Laryngoscope. 2015 Jul;125(7):1737-42. doi: 10.1002/lary.25101. Epub 2015 Feb 3.
5
The effect of continuous positive airway pressure on cardiopulmonary coupling.持续气道正压通气对心肺耦合的影响。
Sleep Breath. 2017 May;21(2):341-345. doi: 10.1007/s11325-016-1419-8. Epub 2016 Oct 8.
6
Cardiopulmonary Coupling Analysis Using Home Sleep Monitoring System Based on Air Mattress.基于空气床垫的家庭睡眠监测系统的心肺耦合分析。
J Med Syst. 2017 Sep 26;41(11):177. doi: 10.1007/s10916-017-0824-2.
7
Sleep state instabilities in major depressive disorder: Detection and quantification with electrocardiogram-based cardiopulmonary coupling analysis.重度抑郁症中的睡眠状态不稳定性:基于心电图的心肺耦合分析进行检测与量化
Psychophysiology. 2011 Feb;48(2):285-91. doi: 10.1111/j.1469-8986.2010.01060.x.
8
High-frequency cardiopulmonary coupling during sleep correlates with memory in depressed patients: A pilot study.睡眠高频心肺耦合与抑郁患者的记忆相关:一项初步研究。
J Affect Disord. 2020 Jun 1;270:118-123. doi: 10.1016/j.jad.2020.03.058. Epub 2020 Apr 8.
9
Measuring sleep quality after adenotonsillectomy in pediatric sleep apnea.测量小儿睡眠呼吸暂停症腺样体扁桃体切除术后的睡眠质量。
Laryngoscope. 2012 Sep;122(9):2115-21. doi: 10.1002/lary.23356. Epub 2012 Jun 27.
10
The association between leukocyte telomere lengths and sleep instability based on cardiopulmonary coupling analysis.基于心肺耦合分析的白细胞端粒长度与睡眠不稳定性之间的关联。
Sleep Breath. 2015 Sep;19(3):963-8. doi: 10.1007/s11325-014-1110-x. Epub 2015 Jan 28.

引用本文的文献

1
A Survey on Recent Advances in Machine Learning Based Sleep Apnea Detection Systems.基于机器学习的睡眠呼吸暂停检测系统的最新进展综述
Healthcare (Basel). 2021 Jul 20;9(7):914. doi: 10.3390/healthcare9070914.
2
Multicomponent Analysis of Sleep Using Electrocortical, Respiratory, Autonomic and Hemodynamic Signals Reveals Distinct Features of Stable and Unstable NREM and REM Sleep.使用脑电图、呼吸、自主神经和血流动力学信号对睡眠进行多成分分析揭示了稳定和不稳定非快速眼动睡眠及快速眼动睡眠的不同特征。
Front Physiol. 2020 Dec 3;11:592978. doi: 10.3389/fphys.2020.592978. eCollection 2020.
3
Objective sleep quality and metabolic risk in healthy weight children results from the randomized Childhood Adenotonsillectomy Trial (CHAT).

本文引用的文献

1
National Sleep Foundation's sleep time duration recommendations: methodology and results summary.美国国家睡眠基金会的睡眠时间建议:方法与结果总结
Sleep Health. 2015 Mar;1(1):40-43. doi: 10.1016/j.sleh.2014.12.010. Epub 2015 Jan 8.
2
Consensus Statement of the American Academy of Sleep Medicine on the Recommended Amount of Sleep for Healthy Children: Methodology and Discussion.美国睡眠医学学会关于健康儿童推荐睡眠时间的共识声明:方法与讨论
J Clin Sleep Med. 2016 Nov 15;12(11):1549-1561. doi: 10.5664/jcsm.6288.
3
Relationship between delta power and the electrocardiogram-derived cardiopulmonary spectrogram: possible implications for assessing the effectiveness of sleep.
健康体重儿童的客观睡眠质量与代谢风险源自随机的儿童腺样体扁桃体切除术试验(CHAT)。
Sleep Breath. 2019 Dec;23(4):1197-1208. doi: 10.1007/s11325-019-01802-w. Epub 2019 Feb 23.
4
Family contexts and sleep during adolescence.青少年时期的家庭环境与睡眠
SSM Popul Health. 2018 Nov 13;7:004-4. doi: 10.1016/j.ssmph.2018.11.004. eCollection 2019 Apr.
Delta 功率与心电图衍生的心肺光谱图之间的关系:评估睡眠效果的可能意义。
Sleep Med. 2014 Jan;15(1):125-31. doi: 10.1016/j.sleep.2013.10.002. Epub 2013 Oct 31.
4
Sleep cyclic alternating pattern and cognition in children: a review.儿童睡眠周期性交替模式与认知:综述。
Int J Psychophysiol. 2013 Aug;89(2):246-51. doi: 10.1016/j.ijpsycho.2013.07.009. Epub 2013 Jul 30.
5
Symbolic patterns of heart rate dynamics reflect cardiac autonomic changes during childhood and adolescence.心率动力学的符号模式反映了儿童和青少年时期心脏自主变化。
Auton Neurosci. 2013 Nov;178(1-2):37-43. doi: 10.1016/j.autneu.2013.02.003. Epub 2013 Feb 28.
6
Longitudinal sleep EEG trajectories indicate complex patterns of adolescent brain maturation.纵向睡眠 EEG 轨迹表明青少年大脑成熟具有复杂的模式。
Am J Physiol Regul Integr Comp Physiol. 2013 Feb 15;304(4):R296-303. doi: 10.1152/ajpregu.00422.2012. Epub 2012 Nov 28.
7
Social jetlag and obesity.社会时差与肥胖。
Curr Biol. 2012 May 22;22(10):939-43. doi: 10.1016/j.cub.2012.03.038. Epub 2012 May 10.
8
The role of NREM sleep instability in child cognitive performance.非快速眼动睡眠不稳定性在儿童认知表现中的作用。
Sleep. 2012 May 1;35(5):649-56. doi: 10.5665/sleep.1824.
9
Normal sleep patterns in infants and children: a systematic review of observational studies.婴幼儿正常睡眠模式的观察性研究系统综述。
Sleep Med Rev. 2012 Jun;16(3):213-22. doi: 10.1016/j.smrv.2011.06.001. Epub 2011 Jul 23.
10
Unexpected course of nonlinear cardiac interbeat interval dynamics during childhood and adolescence.儿童和青少年时期非线性心搏间期动力学的意外过程。
PLoS One. 2011;6(5):e19400. doi: 10.1371/journal.pone.0019400. Epub 2011 May 20.