• 文献检索
  • 文档翻译
  • 深度研究
  • 学术资讯
  • Suppr Zotero 插件Zotero 插件
  • 邀请有礼
  • 套餐&价格
  • 历史记录
应用&插件
Suppr Zotero 插件Zotero 插件浏览器插件Mac 客户端Windows 客户端微信小程序
定价
高级版会员购买积分包购买API积分包
服务
文献检索文档翻译深度研究API 文档MCP 服务
关于我们
关于 Suppr公司介绍联系我们用户协议隐私条款
关注我们

Suppr 超能文献

核心技术专利:CN118964589B侵权必究
粤ICP备2023148730 号-1Suppr @ 2026

文献检索

告别复杂PubMed语法,用中文像聊天一样搜索,搜遍4000万医学文献。AI智能推荐,让科研检索更轻松。

立即免费搜索

文件翻译

保留排版,准确专业,支持PDF/Word/PPT等文件格式,支持 12+语言互译。

免费翻译文档

深度研究

AI帮你快速写综述,25分钟生成高质量综述,智能提取关键信息,辅助科研写作。

立即免费体验

内皮素-1/内皮素A受体表达上调与卵巢癌中乙酰肝素酶表达相关。

Upregulation of Endothelin-1/Endothelin A Receptor Expression Correlates with Heparanase Expression in Ovarian Carcinoma.

作者信息

Anggorowati Nungki, Ghozali Ahmad, Widodo Irianiwati, Sari Dwi Cahyani Ratna, Mansyur Romi Muhammad, Arfian Nur

机构信息

Department of Anatomical Pathology, Universitas Gadjah Mada/Sardjito Hospital, Yogyakarta, Indonesia.

Department of Anatomy, Universitas Gadjah Mada/Sardjito Hospital, Yoyakarta, Indonesia.

出版信息

Iran J Med Sci. 2018 May;43(3):286-295.

PMID:29892146
原文链接:https://pmc.ncbi.nlm.nih.gov/articles/PMC5993895/
Abstract

BACKGROUND

Heparanase and endothelin-1/endothelin A receptor (ET-1/ETR) expressions increase in cancer. This condition enhances tumor progression and correlates with poor survival. Limited data are documented regarding the role of heparanase and ET-1/ETR in epithelial ovarian cancer (EOC). We sought to characterize the correlation between heparanase and ET-1/ETR in EOC.

METHODS

Thirty patients with benign and malignant ovarian neoplasms were recruited in this study. Neoplasm subtypes were diagnosed by pathologists. RNA extraction was done in fresh frozen neoplasms while immunohistochemical (IHC) staining was done on ETAR, heparanase, and proliferation (Ki-67 antigen) in paraffin sections. Reverse transcriptase PCR was done to quantify the expression of preproET-1 (ppET-1), ETAR, and heparanase. ETAR and heparanase histoscores were done based on IHC staining. The Independent Samples Test, ANOVA, and correlations were used for statistical analysis.

RESULTS

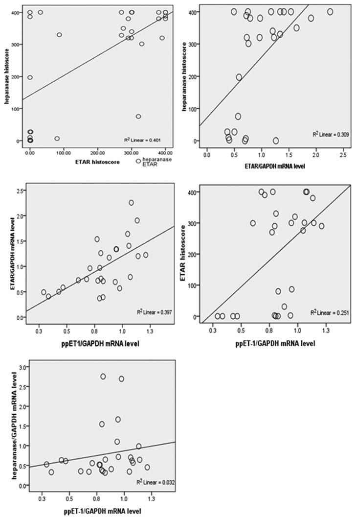
Heparanase and ETAR histoscores, ppET-1 and ETAR mRNA levels, and Ki-67 were significantly higher in the group with EOC than in the benign or borderline group, regardless of the histopathological types. The heparanase histoscore correlated with the ETAR histoscore (r=0.484, P=0.007) and the ETAR mRNA level (r=0.551, P=0.003). The level of ppET-1 mRNA correlated with both ETAR mRNA level and ETAR histoscore (r=0.603, P=0.001 and r=0.455, P=028, respectively). The ovarian neoplasms with high ppET-1 mRNA levels also tended to have high heparanase mRNA levels; however, the correlation was weak (r=0.354, P=0.07). Ki-67 correlated with the heparanase and ETAR histoscores (r=0.381, P=0.038 and r=0.477, P=0.008, respectively).

CONCLUSION

Heparanase and ETAR were upregulated in EOC, and the correlation between heparanase and ETAR expressions was also elucidated in the current study.

摘要

背景

硫酸乙酰肝素酶和内皮素-1/内皮素A受体(ET-1/ETR)的表达在癌症中增加。这种情况会促进肿瘤进展,并与不良预后相关。关于硫酸乙酰肝素酶和ET-1/ETR在上皮性卵巢癌(EOC)中的作用,相关数据有限。我们试图明确EOC中硫酸乙酰肝素酶与ET-1/ETR之间的相关性。

方法

本研究招募了30例患有良性和恶性卵巢肿瘤的患者。肿瘤亚型由病理学家诊断。在新鲜冷冻肿瘤中进行RNA提取,同时在石蜡切片上对ETAR、硫酸乙酰肝素酶和增殖标志物(Ki-67抗原)进行免疫组织化学(IHC)染色。进行逆转录聚合酶链反应以定量前内皮素原-1(ppET-1)、ETAR和硫酸乙酰肝素酶的表达。基于IHC染色计算ETAR和硫酸乙酰肝素酶的组织学评分。采用独立样本检验、方差分析和相关性分析进行统计学分析。

结果

无论组织病理学类型如何,EOC组的硫酸乙酰肝素酶和ETAR组织学评分、ppET-1和ETAR mRNA水平以及Ki-67均显著高于良性或交界性组。硫酸乙酰肝素酶组织学评分与ETAR组织学评分(r=0.484,P=0.007)以及ETAR mRNA水平(r=0.551,P=0.003)相关。ppET-1 mRNA水平与ETAR mRNA水平和ETAR组织学评分均相关(分别为r=0.603,P=0.001和r=0.455,P=0.028)。ppET-1 mRNA水平高的卵巢肿瘤往往硫酸乙酰肝素酶mRNA水平也高;然而,相关性较弱(r=0.354,P=0.07)。Ki-67与硫酸乙酰肝素酶和ETAR组织学评分相关(分别为r=0.381,P=0.038和r=0.477,P=0.008)。

结论

EOC中硫酸乙酰肝素酶和ETAR上调,本研究还阐明了硫酸乙酰肝素酶与ETAR表达之间的相关性。

https://cdn.ncbi.nlm.nih.gov/pmc/blobs/81b8/5993895/c12bae7868b1/IJMS-43-286-g004.jpg
https://cdn.ncbi.nlm.nih.gov/pmc/blobs/81b8/5993895/4c61df8d2cab/IJMS-43-286-g001.jpg
https://cdn.ncbi.nlm.nih.gov/pmc/blobs/81b8/5993895/fd9a85eeb548/IJMS-43-286-g002.jpg
https://cdn.ncbi.nlm.nih.gov/pmc/blobs/81b8/5993895/f7f54c6a1c11/IJMS-43-286-g003.jpg
https://cdn.ncbi.nlm.nih.gov/pmc/blobs/81b8/5993895/c12bae7868b1/IJMS-43-286-g004.jpg
https://cdn.ncbi.nlm.nih.gov/pmc/blobs/81b8/5993895/4c61df8d2cab/IJMS-43-286-g001.jpg
https://cdn.ncbi.nlm.nih.gov/pmc/blobs/81b8/5993895/fd9a85eeb548/IJMS-43-286-g002.jpg
https://cdn.ncbi.nlm.nih.gov/pmc/blobs/81b8/5993895/f7f54c6a1c11/IJMS-43-286-g003.jpg
https://cdn.ncbi.nlm.nih.gov/pmc/blobs/81b8/5993895/c12bae7868b1/IJMS-43-286-g004.jpg

相似文献

1
Upregulation of Endothelin-1/Endothelin A Receptor Expression Correlates with Heparanase Expression in Ovarian Carcinoma.内皮素-1/内皮素A受体表达上调与卵巢癌中乙酰肝素酶表达相关。
Iran J Med Sci. 2018 May;43(3):286-295.
2
[Study of the clinical significance of ETAR mRNA expression in high-grade serous ovarian cancer and the inhibitory effect of ETAR derived fusion polypeptide on cancer progression].[ETAR mRNA表达在高级别浆液性卵巢癌中的临床意义及ETAR衍生融合多肽对癌症进展的抑制作用研究]
Zhonghua Fu Chan Ke Za Zhi. 2023 Dec 25;58(12):930-938. doi: 10.3760/cma.j.cn112141-20230801-00029.
3
Endothelin-1/endothelin A receptor axis activates RhoA GTPase in epithelial ovarian cancer.内皮素-1/内皮素 A 受体轴在卵巢上皮性癌中激活 RhoA GTP 酶。
Life Sci. 2016 Aug 15;159:49-54. doi: 10.1016/j.lfs.2016.01.008. Epub 2016 Jan 8.
4
β-Arrestin 1 is required for endothelin-1-induced NF-κB activation in ovarian cancer cells.β-抑制蛋白1是内皮素-1诱导卵巢癌细胞中NF-κB激活所必需的。
Life Sci. 2014 Nov 24;118(2):179-84. doi: 10.1016/j.lfs.2014.01.078. Epub 2014 Feb 12.
5
Endothelin-1/endothelin A receptor-mediated biased signaling is a new player in modulating human ovarian cancer cell tumorigenesis.内皮素-1/内皮素A受体介导的偏向性信号传导是调节人类卵巢癌细胞肿瘤发生的一个新因素。
Cell Signal. 2014 Dec;26(12):2885-95. doi: 10.1016/j.cellsig.2014.08.024. Epub 2014 Sep 3.
6
The independent, unfavorable prognostic factors endothelin A receptor and chemokine receptor 4 have a close relationship in promoting the motility of nasopharyngeal carcinoma cells via the activation of AKT and MAPK pathways.独立的、不利的预后因子内皮素 A 受体和趋化因子受体 4 通过激活 AKT 和 MAPK 通路密切相关,促进鼻咽癌细胞的迁移。
J Transl Med. 2013 Aug 29;11:203. doi: 10.1186/1479-5876-11-203.
7
Endothelin-1, Endothelin-A- and Endothelin-B-receptor expression in preinvasive and invasive breast disease.内皮素-1、内皮素-A受体和内皮素-B受体在乳腺原位癌和浸润性癌中的表达
Oncol Rep. 2004 Apr;11(4):791-6.
8
Endothelin A receptor/β-arrestin signaling to the Wnt pathway renders ovarian cancer cells resistant to chemotherapy.内皮素 A 受体/β-arrestin 信号转导至 Wnt 通路使卵巢癌细胞对化疗产生耐药性。
Cancer Res. 2014 Dec 15;74(24):7453-64. doi: 10.1158/0008-5472.CAN-13-3133. Epub 2014 Nov 6.
9
[The expression of acetyl-heparanase, laminin and laminin receptor and their role in the metastasis of ovarian cancer].乙酰肝素酶、层粘连蛋白及层粘连蛋白受体的表达及其在卵巢癌转移中的作用
Xi Bao Yu Fen Zi Mian Yi Xue Za Zhi. 2003 Sep;19(5):459-61.
10
Targeting endothelin 1 receptor-miR-200b/c-ZEB1 circuitry blunts metastatic progression in ovarian cancer.靶向内皮素1受体-miR-200b/c-ZEB1信号通路可抑制卵巢癌的转移进程。
Commun Biol. 2020 Nov 13;3(1):677. doi: 10.1038/s42003-020-01404-3.

引用本文的文献

1
Role of heparanase in pulmonary hypertension.乙酰肝素酶在肺动脉高压中的作用。
Front Pharmacol. 2023 Aug 11;14:1202676. doi: 10.3389/fphar.2023.1202676. eCollection 2023.
2
ET-1 Promotes Epithelial-Mesenchymal Transition in Oral Squamous Cell Carcinoma Cells via the microRNA-489-3p /TWIST Axis.内皮素-1通过微小RNA-489-3p/TWIST轴促进口腔鳞状细胞癌细胞的上皮-间质转化。
Onco Targets Ther. 2021 Oct 6;14:5005-5018. doi: 10.2147/OTT.S294312. eCollection 2021.

本文引用的文献

1
Untangling the Knot in Diabetic Nephropathy: The Unanticipated Role of Glycocalyx in the Antiproteinuric Effect of Endothelin Receptor Antagonists.解开糖尿病肾病的症结:糖萼在内皮素受体拮抗剂抗蛋白尿作用中意想不到的作用
Diabetes. 2016 Aug;65(8):2115-7. doi: 10.2337/dbi16-0020.
2
Endothelin-1 Induces Proteinuria by Heparanase-Mediated Disruption of the Glomerular Glycocalyx.内皮素-1通过肝素酶介导的肾小球糖萼破坏诱导蛋白尿。
J Am Soc Nephrol. 2016 Dec;27(12):3545-3551. doi: 10.1681/ASN.2015091070. Epub 2016 Mar 29.
3
Heparanase multiple effects in cancer.
乙酰肝素酶在癌症中的多重作用。
Thromb Res. 2014 May;133 Suppl 2:S90-4. doi: 10.1016/S0049-3848(14)50015-1.
4
Global distribution pattern of histological subtypes of epithelial ovarian cancer: a database analysis and systematic review.全球上皮性卵巢癌组织学亚型的分布模式:数据库分析和系统评价。
Gynecol Oncol. 2014 May;133(2):147-54. doi: 10.1016/j.ygyno.2014.02.016. Epub 2014 Feb 17.
5
Heparanase-A Link between Coagulation, Angiogenesis, and Cancer.乙酰肝素酶——凝血、血管生成与癌症之间的联系
Rambam Maimonides Med J. 2012 Jan 31;3(1):e0002. doi: 10.5041/RMMJ.10069. Print 2012 Jan.
6
The endothelin A receptor and epidermal growth factor receptor signaling converge on β-catenin to promote ovarian cancer metastasis.内皮素 A 受体和表皮生长因子受体信号通路通过 β-连环蛋白协同促进卵巢癌转移。
Life Sci. 2012 Oct 15;91(13-14):550-6. doi: 10.1016/j.lfs.2012.03.023. Epub 2012 Mar 28.
7
The endothelin axis as therapeutic target in human malignancies: present and future.内皮素轴作为人类恶性肿瘤的治疗靶点:现状与未来。
Curr Pharm Des. 2012;18(19):2720-33. doi: 10.2174/138161212800626157.
8
Antivascular therapy for multidrug-resistant ovarian tumors by macitentan, a dual endothelin receptor antagonist.马西替坦,一种双重内皮素受体拮抗剂,用于治疗多药耐药卵巢肿瘤的抗血管治疗。
Transl Oncol. 2012 Feb;5(1):39-47. doi: 10.1593/tlo.11286. Epub 2012 Feb 1.
9
Epithelial ovarian cancer.上皮性卵巢癌。
Best Pract Res Clin Obstet Gynaecol. 2012 Jun;26(3):337-45. doi: 10.1016/j.bpobgyn.2011.12.005. Epub 2012 Jan 24.
10
Macitentan (ACT-064992), a tissue-targeting endothelin receptor antagonist, enhances therapeutic efficacy of paclitaxel by modulating survival pathways in orthotopic models of metastatic human ovarian cancer.马西替坦(ACT-064992),一种组织靶向性内皮素受体拮抗剂,通过调节人卵巢癌原位转移模型中的存活途径增强紫杉醇的治疗效果。
Neoplasia. 2011 Feb;13(2):167-79. doi: 10.1593/neo.10806.