• 文献检索
  • 文档翻译
  • 深度研究
  • 学术资讯
  • Suppr Zotero 插件Zotero 插件
  • 邀请有礼
  • 套餐&价格
  • 历史记录
应用&插件
Suppr Zotero 插件Zotero 插件浏览器插件Mac 客户端Windows 客户端微信小程序
定价
高级版会员购买积分包购买API积分包
服务
文献检索文档翻译深度研究API 文档MCP 服务
关于我们
关于 Suppr公司介绍联系我们用户协议隐私条款
关注我们

Suppr 超能文献

核心技术专利:CN118964589B侵权必究
粤ICP备2023148730 号-1Suppr @ 2026

文献检索

告别复杂PubMed语法,用中文像聊天一样搜索,搜遍4000万医学文献。AI智能推荐,让科研检索更轻松。

立即免费搜索

文件翻译

保留排版,准确专业,支持PDF/Word/PPT等文件格式,支持 12+语言互译。

免费翻译文档

深度研究

AI帮你快速写综述,25分钟生成高质量综述,智能提取关键信息,辅助科研写作。

立即免费体验

不同大小的蜜蜂(膜翅目:蜂科)群体作为杂交油菜种子传粉者的比较。

Comparison of Honey Bee (Hymenoptera: Apidae) Colony Units of Different Sizes as Pollinators of Hybrid Seed Canola.

机构信息

Alberta Agriculture and Forestry, Lethbridge Research Centre, Lethbridge, Alberta, Canada.

出版信息

J Econ Entomol. 2018 Aug 3;111(4):1535-1541. doi: 10.1093/jee/toy155.

DOI:10.1093/jee/toy155
PMID:29901757
原文链接:https://pmc.ncbi.nlm.nih.gov/articles/PMC6075627/
Abstract

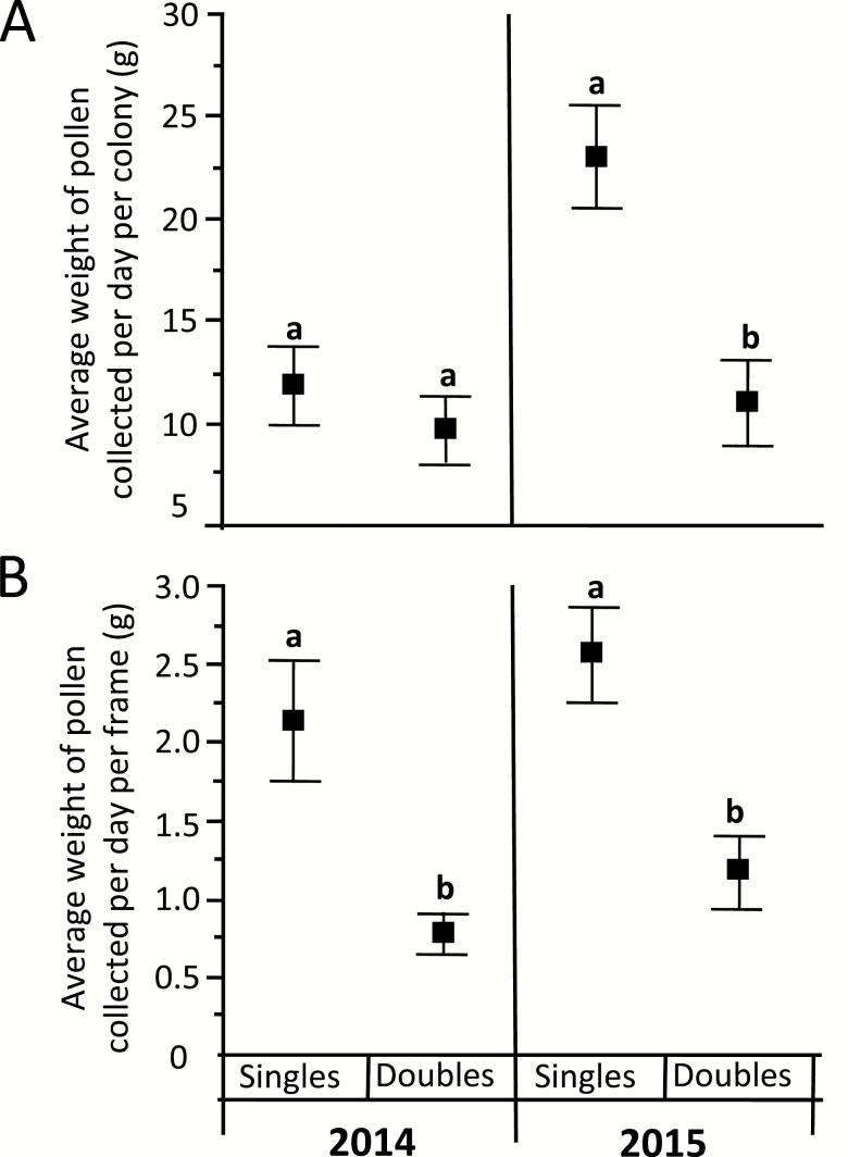
We compare two different sizes of honey bee colony units: singles (one brood chamber) and doubles (two brood chambers) in hybrid seed canola pollination in southern Alberta in 2014 and 2015. Currently, canola seed production companies only contract double-brood chamber units to pollinate canola in southern Alberta, but it may be advantageous to the industry if singles could also be contracted for pollination, as they are in many other crops. To evaluate the differences between the colony units, we measured population size, nectar and pollen foraging, nectar and pollen load weights, pollen collection, and honey production. The colony populations of both the single- and double-brood chamber hives in this study were highly variable. In 2015, there was no difference between the single- and the double-brood chamber colonies in adult bee populations, and the singles had more sealed brood than did the double-brood chamber colonies. Our findings indicate that in comparison to doubles, on a per-frame basis, singles yield more pollen, more nectar foragers, similar or more pollen foragers, and similar amounts of honey. Therefore, we conclude that singles could be used to provide the same level of pollination services as doubles currently do in hybrid seed canola pollination, and growers should focus on receiving healthy populous colonies, regardless of the number of brood boxes.

摘要

我们比较了 2014 年和 2015 年艾伯塔省南部杂交油菜制种中两种不同大小的蜜蜂群体单元:单身(一个育雏室)和双体(两个育雏室)。目前,油菜制种公司只与双育雏室单位签订合同来给艾伯塔省南部的油菜授粉,但如果单身群体也可以签订授粉合同,这对该行业可能是有利的,因为在许多其他作物中已经这样做了。为了评估群体单元之间的差异,我们测量了种群大小、花蜜和花粉觅食、花蜜和花粉负荷重量、花粉收集和蜂蜜产量。本研究中单个和双育雏室蜂箱的蜂群种群变化很大。2015 年,单个和双育雏室蜂群的成蜂种群没有差异,而且单个蜂群的封盖卵比双育雏室蜂群多。我们的研究结果表明,与双体相比,在每个巢框的基础上,单体产生更多的花粉、更多的花蜜觅食者、相似或更多的花粉觅食者,以及相似数量的蜂蜜。因此,我们得出结论,单体可以用来提供与双体目前在杂交油菜制种中提供的相同水平的授粉服务,种植者应该专注于获得健康的群体单元,而不论育雏室箱的数量如何。

https://cdn.ncbi.nlm.nih.gov/pmc/blobs/af4a/6075627/600cc22da63f/toy15503.jpg
https://cdn.ncbi.nlm.nih.gov/pmc/blobs/af4a/6075627/44b1a2eb3d66/toy15501.jpg
https://cdn.ncbi.nlm.nih.gov/pmc/blobs/af4a/6075627/835da942a5ca/toy15502.jpg
https://cdn.ncbi.nlm.nih.gov/pmc/blobs/af4a/6075627/600cc22da63f/toy15503.jpg
https://cdn.ncbi.nlm.nih.gov/pmc/blobs/af4a/6075627/44b1a2eb3d66/toy15501.jpg
https://cdn.ncbi.nlm.nih.gov/pmc/blobs/af4a/6075627/835da942a5ca/toy15502.jpg
https://cdn.ncbi.nlm.nih.gov/pmc/blobs/af4a/6075627/600cc22da63f/toy15503.jpg

相似文献

1
Comparison of Honey Bee (Hymenoptera: Apidae) Colony Units of Different Sizes as Pollinators of Hybrid Seed Canola.不同大小的蜜蜂(膜翅目:蜂科)群体作为杂交油菜种子传粉者的比较。
J Econ Entomol. 2018 Aug 3;111(4):1535-1541. doi: 10.1093/jee/toy155.
2
Influence of honey bee (Hymenoptera: Apidae) density on the production of canola (Crucifera: Brassicacae).蜜蜂(膜翅目:蜜蜂科)密度对油菜(十字花科:十字花科)产量的影响。
J Econ Entomol. 2005 Apr;98(2):367-72.
3
Pollen Collection, Honey Production, and Pollination Services: Managing Honey Bees in an Agricultural Setting.花粉采集、蜂蜜生产和授粉服务:在农业环境中管理蜜蜂。
J Econ Entomol. 2018 Aug 3;111(4):1509-1516. doi: 10.1093/jee/toy125.
4
Consumption of Supplemental Spring Protein Feeds by Western Honey Bee (Hymenoptera: Apidae) Colonies: Effects on Colony Growth and Pollination Potential.西方蜜蜂(膜翅目:蜜蜂科)蜂群对补充春季蛋白质饲料的消耗:对蜂群生长和授粉能力的影响。
J Econ Entomol. 2022 Apr 13;115(2):417-429. doi: 10.1093/jee/toac006.
5
Influence of brood, vent screening, and time of year on honey bee (Hymenoptera: Apidae) pollination and fruit quality of greenhouse tomatoes.蜂群、通风网罩及年份时间对温室番茄蜜蜂(膜翅目:蜜蜂科)授粉和果实品质的影响
J Econ Entomol. 2004 Jun;97(3):727-34. doi: 10.1093/jee/97.3.727.
6
A Novel Pollen Transfer Mechanism by Honey Bee Foragers on Highbush Blueberry (Ericales: Ericaceae).蜜蜂采集者在高丛蓝莓(杜鹃花目:杜鹃花科)上的一种新型花粉传播机制
Environ Entomol. 2018 Dec 7;47(6):1465-1470. doi: 10.1093/ee/nvy162.
7
Managing honey bees (Hymenoptera: Apidae) for greenhouse tomato pollination.管理蜜蜂(膜翅目:蜜蜂科)用于温室番茄授粉
J Econ Entomol. 2003 Jun;96(3):547-54. doi: 10.1093/jee/96.3.547.
8
Exposure to clothianidin seed-treated canola has no long-term impact on honey bees.接触用噻虫胺种子处理过的油菜对蜜蜂没有长期影响。
J Econ Entomol. 2007 Jun;100(3):765-72. doi: 10.1603/0022-0493(2007)100[765:etcsch]2.0.co;2.
9
The Health of Commercial Bombus impatiens (Hymenoptera: Apidae) Colonies After Foraging in Florida Watermelon and Blueberry.在佛罗里达西瓜和蓝莓上觅食后商业熊蜂(膜翅目:蜜蜂科)蜂群的健康状况
Environ Entomol. 2019 Sep 30;48(5):1197-1202. doi: 10.1093/ee/nvz081.
10
Environmental influences on flight activity of USDA-ARS Russian and Italian stocks of honey bees (Hymenoptera: Apidae) during almond pollination.美国农业部农业研究局俄罗斯和意大利种群蜜蜂(膜翅目:蜜蜂科)在杏仁授粉期间飞行活动的环境影响
J Econ Entomol. 2006 Oct;99(5):1565-70. doi: 10.1603/0022-0493-99.5.1565.

引用本文的文献

1
Queen quality, performance, and winter survival of imported and domestic honey bee queen stocks.进口和国产蜂王的质量、性能和冬季生存能力。
Sci Rep. 2023 Oct 12;13(1):17273. doi: 10.1038/s41598-023-44298-x.

本文引用的文献

1
Pollen Collection, Honey Production, and Pollination Services: Managing Honey Bees in an Agricultural Setting.花粉采集、蜂蜜生产和授粉服务:在农业环境中管理蜜蜂。
J Econ Entomol. 2018 Aug 3;111(4):1509-1516. doi: 10.1093/jee/toy125.
2
The relationship between population size, amount of brood, and individual foraging behaviour in the honey bee, Apis mellifera L.意大利蜜蜂(Apis mellifera L.)的种群规模、育雏数量与个体觅食行为之间的关系
Oecologia. 1994 Mar;97(2):248-255. doi: 10.1007/BF00323157.
3
Effects of Wintering Environment and Parasite-Pathogen Interactions on Honey Bee Colony Loss in North Temperate Regions.
越冬环境及寄生虫与病原体相互作用对北温带地区蜂群损失的影响
PLoS One. 2016 Jul 22;11(7):e0159615. doi: 10.1371/journal.pone.0159615. eCollection 2016.
4
Factors determining the collection of pollen by honeybee foragers.决定蜜蜂采集蜂采集花粉的因素。
Anim Behav. 1967 Jan;15(1):134-44. doi: 10.1016/s0003-3472(67)80024-1.