Suppr超能文献

载脂蛋白样磷脂酶域包含 3 号 rs738409 G/G 基因型对门脉高压患者肝失代偿和死亡率的影响。

Impact of patatin-like phospholipase domain containing 3 rs738409 G/G genotype on hepatic decompensation and mortality in patients with portal hypertension.

机构信息

Division of Gastroenterology and Hepatology, Department of Internal Medicine III, Medical University of Vienna, Vienna, Austria.

Vienna Hepatic Hemodynamic Lab, Medical University of Vienna, Vienna, Austria.

出版信息

Aliment Pharmacol Ther. 2018 Aug;48(4):451-459. doi: 10.1111/apt.14856. Epub 2018 Jun 29.

Abstract

BACKGROUND

The rs738409 C>G p.I148M variant in the patatin-like phospholipase domain containing 3 (PNPLA3)-gene promotes triglyceride accumulation in hepatocytes and hepatic stellate cell activation and has previously been linked to hepatic steatosis/liver fibrosis.

AIM

To investigate its impact on hepatic decompensation and (liver-related) mortality in patients who had already developed portal hypertension. Moreover, we assessed its link with hepatic steatosis as evaluated by controlled attenuation parameter.

METHODS

We performed a retrospective analysis in prospectively characterised patients with viral hepatitis/fatty liver disease-induced portal hypertension (hepatic venous pressure gradient [HVPG] ≥ 6 mm Hg) diagnosed at the Medical University of Vienna who underwent HVPG measurement (until 2013; n = 372; longitudinal study) or simultaneous HVPG and controlled attenuation parameter measurement (2014-2017; n = 153; cross-sectional study).

RESULTS

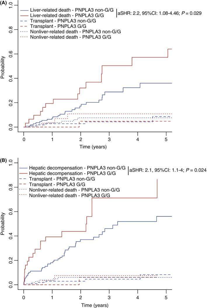
While survival was similar between PNPLA3-C/C and -C/G patients, we observed substantially increased mortality in PNPLA3-G/G patients. PNPLA3-G/G had no impact on mortality in the subgroup of patients with viral hepatitis; however, we observed a strong independent association between PNPLA3-G/G and hepatic decompensation (adjusted subdistribution hazard ratio [aSHR]: 2.1, 95% confidence interval [95% CI]: 1.1-4; P = 0.024) as well as mortality (overall: aSHR: 2.2, 95% CI: 1.22-3.98; P = 0.009; liver-related: aSHR: 2.2, 95% CI: 1.08-4.46; P = 0.029) in patients with fatty liver disease. Interestingly, even in the subgroup of patients who had already progressed to clinically significant portal hypertension (HVPG ≥ 10 mm Hg), PNPLA3-G/G substantially increased mortality (aSHR: 2.33, 95% CI: 1.27-4.29; P = 0.006). PNPLA3-genotype had no influence on controlled attenuation parameter or the prevalence of values ≥248 dB/m.

CONCLUSION

PNPLA3-G/G-genotype seems to double the risks of hepatic decompensation and (liver-related) mortality in patients with portal hypertension due to fatty liver disease. Further studies are warranted to investigate potential underlying pathophysiological mechanisms unrelated to hepatic steatosis.

摘要

背景

载脂蛋白样磷脂酶域包含 3(PNPLA3)基因中的 rs738409C>Gp.I148M 变体促进肝细胞中甘油三酯的积累和肝星状细胞的激活,先前与肝脂肪变性/肝纤维化有关。

目的

研究其对已经发生门脉高压的患者肝失代偿和(与肝脏相关)死亡率的影响。此外,我们评估了其与受控衰减参数评估的肝脂肪变性的关系。

方法

我们对维也纳医科大学前瞻性诊断的病毒性肝炎/脂肪性肝病相关门脉高压(肝静脉压力梯度 [HVPG]≥6mmHg)患者进行回顾性分析,这些患者进行了 HVPG 测量(直到 2013 年;n=372;纵向研究)或同时进行 HVPG 和受控衰减参数测量(2014-2017 年;n=153;横断面研究)。

结果

尽管 PNPLA3-C/C 和 -C/G 患者的生存率相似,但我们观察到 PNPLA3-G/G 患者的死亡率明显增加。PNPLA3-G/G 对病毒性肝炎患者亚组的死亡率没有影响;然而,我们观察到 PNPLA3-G/G 与肝失代偿之间存在强烈的独立关联(调整后的亚分布风险比 [aSHR]:2.1,95%置信区间 [95%CI]:1.1-4;P=0.024)以及死亡率(总体:aSHR:2.2,95%CI:1.22-3.98;P=0.009;肝相关:aSHR:2.2,95%CI:1.08-4.46;P=0.029)在脂肪性肝病患者中。有趣的是,即使在已经进展为临床显著门脉高压(HVPG≥10mmHg)的患者亚组中,PNPLA3-G/G 也会大大增加死亡率(aSHR:2.33,95%CI:1.27-4.29;P=0.006)。PNPLA3 基因型对受控衰减参数或≥248dB/m 值的患病率没有影响。

结论

PNPLA3-G/G 基因型似乎使脂肪性肝病相关门脉高压患者肝失代偿和(肝相关)死亡率的风险增加一倍。需要进一步的研究来探讨与肝脂肪变性无关的潜在病理生理机制。

https://cdn.ncbi.nlm.nih.gov/pmc/blobs/f316/6099386/4cce760bde3a/APT-48-451-g001.jpg

文献AI研究员

20分钟写一篇综述,助力文献阅读效率提升50倍。

立即体验

用中文搜PubMed

大模型驱动的PubMed中文搜索引擎

马上搜索

文档翻译

学术文献翻译模型,支持多种主流文档格式。

立即体验