Condensed Matter Theory Laboratory, RIKEN, Wako, Saitama, 351-0198, Japan.
School of Physics, Georgia Institute of Technology, Atlanta, GA, 30332, USA.
Nat Commun. 2018 Jul 10;9(1):2666. doi: 10.1038/s41467-018-04914-1.
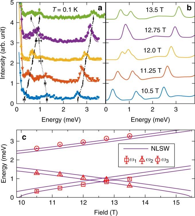
Magnetization plateaus in quantum magnets-where bosonic quasiparticles crystallize into emergent spin superlattices-are spectacular yet simple examples of collective quantum phenomena escaping classical description. While magnetization plateaus have been observed in a number of spin-1/2 antiferromagnets, the description of their magnetic excitations remains an open theoretical and experimental challenge. Here, we investigate the dynamical properties of the triangular-lattice spin-1/2 antiferromagnet BaCoSbO in its one-third magnetization plateau phase using a combination of nonlinear spin-wave theory and neutron scattering measurements. The agreement between our theoretical treatment and the experimental data demonstrates that magnons behave semiclassically in the plateau in spite of the purely quantum origin of the underlying magnetic structure. This allows for a quantitative determination of BaCoSbO exchange parameters. We discuss the implication of our results to the deviations from semiclassical behavior observed in zero-field spin dynamics of the same material and conclude they must have an intrinsic origin.
量子磁体中的磁化平台——玻色准粒子结晶成新兴的自旋超晶格——是集体量子现象超越经典描述的壮观而简单的例子。虽然在许多自旋为 1/2 的反铁磁体中已经观察到了磁化平台,但它们的磁激发的描述仍然是一个开放的理论和实验挑战。在这里,我们使用非线性自旋波理论和中子散射测量相结合的方法,研究了三角晶格自旋为 1/2 的反铁磁体 BaCoSbO 在其三分之一磁化平台相中的动力学性质。我们的理论处理与实验数据之间的一致性表明,尽管潜在磁结构具有纯量子起源,但在平台中磁子表现出半经典行为。这允许定量确定 BaCoSbO 的交换参数。我们讨论了我们的结果对同一材料零场自旋动力学中观察到的偏离半经典行为的影响,并得出结论,它们必须具有内在的起源。