Wang Jian, Li Lingtong, He Yong, Song Haishuo, Chen Xiaolang, Guo Jianbing
Department of Polymer Material and Engineering, College of Materials and Metallurgy, Guizhou University, Guiyang 550025, People's Republic of China.
National Engineering Research Center for Compounding and Modification of Polymer Materials, Guiyang, Guizhou 550014, People's Republic of China.
R Soc Open Sci. 2018 Jun 20;5(6):172029. doi: 10.1098/rsos.172029. eCollection 2018 Jun.
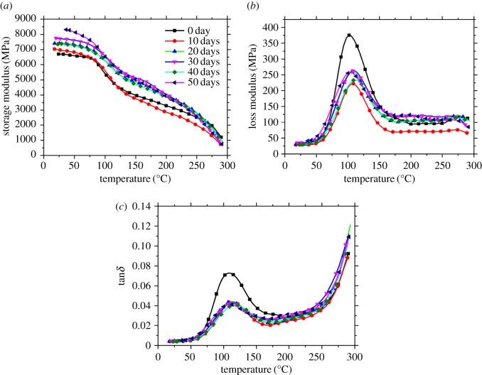
The performances and microstructure of long glass fibre-reinforced polyamide 10T (PA10T/LGF) composites that experienced different ageing temperatures (160 and 200°C) with increasing ageing time are characterized by differential scanning calorimetry (DSC), mechanical analysis, thermogravimetric analysis (TGA) and scanning electron microscopy to probe the correlation between properties of the composites and thermo-oxidative ageing. The DSC results show that PA10T/LGF composites occur on degradation, the fracture of molecular chains and the destruction of crystallization structure, which leads to the crystallization and melting peaks of PA10T/LGF composites to shift to high temperature. On the basis of dynamic mechanical analysis data, the reduction of the interfacial bonding between the glass fibre and PA10T matrix and the motion of molecular chain segments result in the thermo-oxidative ageing of composites. According to the calculation of activation energy (), thermo-oxidative temperature and ageing time can bring about the decline of the value, proving the deterioration in performance of PA10T/LGF composites. In view of TGA, the increase in the thermo-oxidative temperature and ageing time promotes the degradation of PA10T/LGF composites. The tensile, flexural and notched impact strengths of PA10T/LGF composites decline with prolonging the ageing temperature and time. The surface of materials produces some microcracks and the cross-section surface of PA10T/LGF composites becomes rougher.
通过差示扫描量热法(DSC)、力学分析、热重分析(TGA)和扫描电子显微镜对经历不同老化温度(160和200°C)且老化时间增加的长玻璃纤维增强聚酰胺10T(PA10T/LGF)复合材料的性能和微观结构进行表征,以探究复合材料性能与热氧化老化之间的相关性。DSC结果表明,PA10T/LGF复合材料发生降解、分子链断裂和结晶结构破坏,导致PA10T/LGF复合材料的结晶峰和熔融峰向高温移动。基于动态力学分析数据,玻璃纤维与PA10T基体之间界面结合力的降低以及分子链段的运动导致复合材料发生热氧化老化。根据活化能()的计算,热氧化温度和老化时间会导致值下降,证明PA10T/LGF复合材料性能恶化。从TGA来看,热氧化温度和老化时间的增加促进了PA10T/LGF复合材料的降解。PA10T/LGF复合材料的拉伸、弯曲和缺口冲击强度随着老化温度和时间的延长而下降。材料表面产生一些微裂纹,PA10T/LGF复合材料的横截面变得更粗糙。