a Pharmaceutical Organic Chemistry Department, Faculty of Pharmacy , Cairo University , Cairo , Egypt.
b Department of Pharmaceutical Organic Chemistry, Faculty of Pharmacy , Beni-Suef University , Beni-Suef , Egypt.
J Enzyme Inhib Med Chem. 2018 Dec;33(1):1472-1493. doi: 10.1080/14756366.2018.1503654.
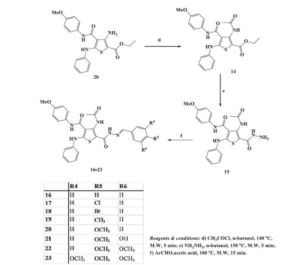
In this work, design, synthesis, and screening of thiophene carboxamides 4-13 and 16-23 as dual vascular endothelial growth factor receptors (VEGFRs) and mitotic inhibitors was reported. All compounds were screened against two gastrointestinal solid cancer cells, HepG-2 and HCT-116 cell lines. The most active cytotoxic derivatives 5 and 21 displayed 2.3- and 1.7-fold higher cytotoxicity than Sorafenib against HepG-2 cells. Cell cycle and apoptosis analyses for compounds 5 and 21 showed cells accumulation in the sub-G1 phase, and cell cycle arrest at G2/M phase. The apoptotic inducing activities of compounds 5 and 21were correlated to the elevation of p53, increase in Bax/Bcl-2 ratio, and increase in caspase-3/7.Compounds 5 and 21 showed potent inhibition againstVEGFR-2 (IC = 0.59 and 1.29 μM) and β-tubulin polymerization (73% and 86% inhibition at their IC values).Molecular docking was performed with VEGFR-2 and tubulin binding sites to explain the displayed inhibitory activities.
本工作报道了噻吩甲酰胺类化合物 4-13 和 16-23 的设计、合成与筛选,这些化合物是双重血管内皮生长因子受体(VEGFRs)和有丝分裂抑制剂。所有化合物均针对两种胃肠道实体癌细胞系 HepG-2 和 HCT-116 进行了筛选。最具细胞毒性的衍生物 5 和 21 对 HepG-2 细胞的细胞毒性比索拉非尼高 2.3 倍和 1.7 倍。化合物 5 和 21 的细胞周期和凋亡分析显示,细胞在亚 G1 期积累,并在 G2/M 期停滞。化合物 5 和 21 的诱导凋亡活性与 p53 水平升高、Bax/Bcl-2 比值增加和 caspase-3/7 增加有关。化合物 5 和 21 对 VEGFR-2(IC=0.59 和 1.29μM)和β-微管蛋白聚合具有很强的抑制作用(在其 IC 值时抑制率分别为 73%和 86%)。通过与 VEGFR-2 和微管结合位点进行分子对接,解释了所显示的抑制活性。