Department of Community Medicine and Global Health, University of Oslo, 0318 Oslo, Norway.
Centre for Global Health Research, Diabetic Association of Bangladesh, Dhaka 1000, Bangladesh.
Int J Environ Res Public Health. 2018 Sep 6;15(9):1944. doi: 10.3390/ijerph15091944.
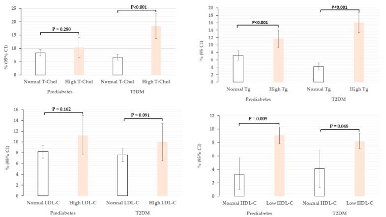
Dyslipidemia is commonly associated with diabetes (T2DM). This has been demonstrated for the Caucasian population, but few data are available for Asian Indians. The paper aims to investigate serum lipids (separately or in combination) and their association with glucose intolerance status (T2DM and prediabetes) in a rural Bangladeshi population. A sample of 2293 adults (≥20 years) were included in a community based cross-sectional survey in 2009. Anthropometric measures, blood pressure, blood glucose (fasting and 2-h oral glucose tolerance test) and fasting serum lipids (total cholesterol, T-Chol; triglycerides, Tg; low density lipoprotein cholesterol, LDL-C and high density lipoprotein cholesterol, HDL-C) were registered. Analysis of covariance (ANCOVA) and regression analysis were performed. High Tg levels were seen in 26% to 64% of the participants, depending on glucose tolerance status. Low HDL-C levels were seen in all groups (>90%). Significant linear trends were observed for high T-Chol, high Tg and low HDL-C with increasing glucose intolerance ( for trend <0.001). T2DM was significantly associated with high T-Chol (Odds ratio (OR): 2.43, < 0.001), high Tg (OR: 3.91, < 0.001) and low HDL-C (OR: 2.17, = 0.044). Prediabetes showed a significant association with high Tg (OR: 1.96, < 0.001) and low HDL-C (OR: 2.93, = 0.011). Participants with combined high Tg and low HDL-C levels had a 12.75-fold higher OR for T2DM and 4.89 OR for prediabetes. In Asian Indian populations an assessment of serum lipids is warranted not only for T2DM patients, but also for those with prediabetes.
血脂异常通常与糖尿病(T2DM)有关。这在白种人群中已经得到证实,但亚洲印度人的数据很少。本文旨在研究血清脂质(单独或联合)及其与葡萄糖耐量状态(T2DM 和糖尿病前期)的关系,该研究在 2009 年进行了一项基于社区的横断面调查,共纳入 2293 名成年人(≥20 岁)。记录了人体测量指标、血压、血糖(空腹和 2 小时口服葡萄糖耐量试验)和空腹血清脂质(总胆固醇、T-Chol;甘油三酯、Tg;低密度脂蛋白胆固醇、LDL-C 和高密度脂蛋白胆固醇、HDL-C)。采用协方差分析(ANCOVA)和回归分析进行分析。根据葡萄糖耐量状态,26%至 64%的参与者存在高 Tg 水平。所有组的低 HDL-C 水平均>90%。随着葡萄糖耐量的增加,高 T-Chol、高 Tg 和低 HDL-C 呈显著线性趋势(趋势<0.001)。T2DM 与高 T-Chol(优势比(OR):2.43,<0.001)、高 Tg(OR:3.91,<0.001)和低 HDL-C(OR:2.17,=0.044)显著相关。糖尿病前期与高 Tg(OR:1.96,<0.001)和低 HDL-C(OR:2.93,=0.011)显著相关。同时存在高 Tg 和低 HDL-C 水平的参与者患 T2DM 的 OR 为 12.75 倍,患糖尿病前期的 OR 为 4.89 倍。在亚洲印度人群中,不仅需要对 T2DM 患者,还需要对糖尿病前期患者进行血清脂质评估。