Suppr超能文献

新城疫病毒感染和热处理过程中鸡哈德氏腺组织宿主免疫反应的新见解。

Novel insights into the host immune response of chicken Harderian gland tissue during Newcastle disease virus infection and heat treatment.

作者信息

Saelao Perot, Wang Ying, Gallardo Rodrigo A, Lamont Susan J, Dekkers Jack M, Kelly Terra, Zhou Huaijun

机构信息

Integrative Genetics and Genomics Graduate Group, University of California, Davis, CA, 95616, USA.

Genomics to Improve Poultry Innovation Lab, University of California, Davis, CA, 95616, USA.

出版信息

BMC Vet Res. 2018 Sep 12;14(1):280. doi: 10.1186/s12917-018-1583-0.

Abstract

BACKGROUND

Newcastle disease virus, in its most pathogenic form, threatens the livelihood of rural poultry farmers where there is a limited infrastructure and service for vaccinations to prevent outbreaks of the virus. Previously reported studies on the host response to Newcastle disease in chickens have not examined the disease under abiotic stressors, such as heat, which commonly experienced by chickens in regions such as Africa. The objective of this study was to elucidate the underlying biological mechanisms that contribute to disease resistance in chickens to the Newcastle disease virus while under the effects of heat stress.

RESULTS

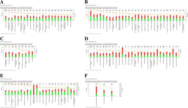
Differential gene expression analysis identified genes differentially expressed between treated and non-treated birds across three time points (2, 6, and 10 days post-infection) in Fayoumi and Leghorn birds. Across the three time points, Fayoumi had very few genes differentially expressed between treated and non-treated groups at 2 and 6 days post-infection. However, 202 genes were differentially expressed at 10 days post-infection. Alternatively, Leghorn had very few genes differentially expressed at 2 and 10 days post-infection but had 167 differentially expressed genes at 6 days post-infection. Very few differentially expressed genes were shared between the two genetic lines, and pathway analysis found unique signaling pathways specific to each genetic line. Fayoumi had significantly lower viral load, higher viral clearance, higher anti-NDV antibody levels, and fewer viral transcripts detected compared to Leghorns. Fayoumis activated immune related pathways including SAPK/JNK and p38 MAPK signaling pathways at earlier time points, while Leghorn would activate these same pathways at a later time. Further analysis revealed activation of the GP6 signaling pathway that may be responsible for the susceptible Leghorn response.

CONCLUSIONS

The findings in this study confirmed our hypothesis that the Fayoumi line was more resistant to Newcastle disease virus infection compared to the Leghorn line. Within line and interaction analysis demonstrated substantial differences in response patterns between the two genetic lines that was not observed from the within line contrasts. This study has provided novel insights into the transcriptome response of the Harderian gland tissue during Newcastle disease virus infection while under heat stress utilizing a unique resistant and susceptible model.

摘要

背景

新城疫病毒的高致病性形式威胁着农村家禽养殖户的生计,因为当地疫苗接种基础设施和服务有限,难以预防病毒爆发。先前关于鸡对新城疫宿主反应的研究未在非生物应激因素(如高温)下考察该疾病,而非洲等地的鸡经常经历高温。本研究的目的是阐明在热应激影响下,鸡对新城疫病毒产生抗病性的潜在生物学机制。

结果

差异基因表达分析确定了在感染后三个时间点(感染后2、6和10天)法尤米鸡和来航鸡中处理组和未处理组之间差异表达的基因。在这三个时间点,法尤米鸡在感染后2天和6天处理组和未处理组之间差异表达的基因很少。然而,在感染后10天有202个基因差异表达。相比之下,来航鸡在感染后2天和10天差异表达的基因很少,但在感染后6天有167个差异表达基因。两个品系之间很少有差异表达基因相同,通路分析发现了每个品系特有的独特信号通路。与来航鸡相比,法尤米鸡的病毒载量显著更低、病毒清除率更高、抗新城疫病毒抗体水平更高,且检测到的病毒转录本更少。法尤米鸡在更早的时间点激活了包括SAPK/JNK和p38 MAPK信号通路在内的免疫相关通路,而来航鸡则在更晚的时间激活这些相同的通路。进一步分析揭示了GP6信号通路的激活,这可能是来航鸡易感反应的原因。

结论

本研究结果证实了我们的假设,即与来航鸡品系相比,法尤米鸡品系对新城疫病毒感染更具抗性。品系内和交互分析表明,两个遗传品系之间的反应模式存在显著差异,这在品系内对比中未观察到。本研究利用独特的抗性和易感模型,为热应激下新城疫病毒感染期间哈德氏腺组织的转录组反应提供了新的见解。

https://cdn.ncbi.nlm.nih.gov/pmc/blobs/fae2/6134752/5968297701a7/12917_2018_1583_Fig1_HTML.jpg

文献AI研究员

20分钟写一篇综述,助力文献阅读效率提升50倍。

立即体验

用中文搜PubMed

大模型驱动的PubMed中文搜索引擎

马上搜索

文档翻译

学术文献翻译模型,支持多种主流文档格式。

立即体验