Suppr超能文献

First Order Reversal Curve Study of SmFe₂ Melt-Spun Ribbons.

作者信息

Grijalva-Castillo María C, Santillán-Rodríguez Carlos R, Sáenz-Hernández Renee J, Botello-Zubíate María E, Matutes-Aquino José A

机构信息

CONACYT-Centro de Investigación en Materiales Avanzados, S.C., Miguel de Cervantes 120, Complejo Industrial Chihuahua, Chihuahua 31136, Mexico.

Centro de Investigación en Materiales Avanzados, S.C., Miguel de Cervantes 120, Complejo Industrial Chihuahua, Chihuahua 31136, Mexico.

出版信息

Materials (Basel). 2018 Sep 22;11(10):1804. doi: 10.3390/ma11101804.

Abstract

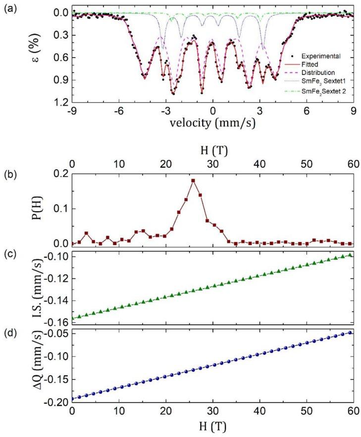
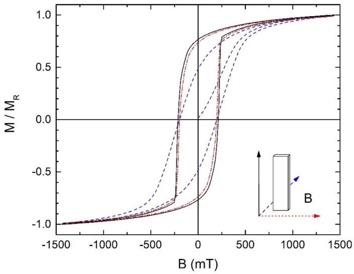
First-order reversal curves (FORC) and the FORC distribution provide a detailed characterization of the relative proportions of reversible and irreversible components of the magnetization of a material, revealing the dominant interactions in the system. Alloys with the nominal composition SmFe₂ were obtained by melt-spinning with a cooper wheel velocity of 30 m/s. X-ray powder diffraction analysis showed a greater part consisting of an amorphous phase and a very small amount of SmFe₂ crystalline phase with an average crystallite size of 8 nm. A constant acceleration Mössbauer spectrum, measured at room temperature in transmission mode, was fitted to a continuous distribution of effective fields at the nucleus of the amorphous phase (about 84% of the total area), plus two sextets for the non-equivalent sites of Fe in the SmFe₂ crystalline phase. 91 first-order reversal curves were collected in a Quantum Design PPMS-VSM with reversal fields from ⁻800 mT to +800 mT and using a calibration field of 850 mT. The obtained FORC diagrams showed a combined effect of a local interaction field and a mean interaction field, and showed that the reversible magnetization is a function of both, the applied magnetic field and the irreversible magnetization.

摘要
https://cdn.ncbi.nlm.nih.gov/pmc/blobs/6ed6/6212980/e481010c0428/materials-11-01804-g001.jpg

文献AI研究员

20分钟写一篇综述,助力文献阅读效率提升50倍。

立即体验

用中文搜PubMed

大模型驱动的PubMed中文搜索引擎

马上搜索

文档翻译

学术文献翻译模型,支持多种主流文档格式。

立即体验