Suppr超能文献

一种用于非小细胞肺癌的7-微小RNA预后特征的建立与验证

Establishment and validation of a 7-microRNA prognostic signature for non-small cell lung cancer.

作者信息

Wang Nan, Guo Huihui, Dong Zhaohuo, Chen Qiuqiang, Zhang Xilin, Shen Weiyun, Bao Ying, Wang Xiang

机构信息

Medical Department, Huzhou Hospital of Traditional Chinese Medicine, Huzhou, People's Republic of China.

First Affiliated Hospital, Huzhou Teachers College, The First People's Hospital of Huzhou, Huzhou, People's Republic of China,

出版信息

Cancer Manag Res. 2018 Sep 12;10:3463-3471. doi: 10.2147/CMAR.S170481. eCollection 2018.

Abstract

PURPOSE

A series of microRNAs (miRNAs) have been identified as associated with the survival of patients with non-small-cell lung cancer (NSCLC). The aim of the present study was to explore whether combination of these experimentally validated individual miRNA biomarkers could be used to further increase their prognostic power in NSCLC.

PATIENTS AND METHODS

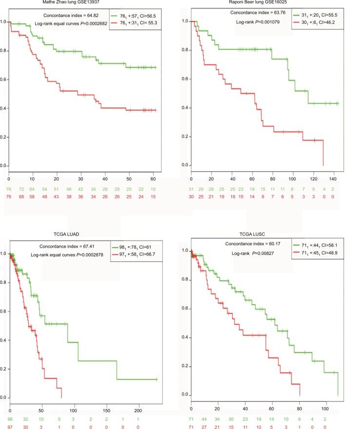
Based on previously validated NSCLC prognostic miRNAs, gene signatures that could discriminate high-risk subgroups with poor clinical outcome in four NSCLC miRNA expression datasets (GSE13937, GSE16025, The Cancer Genome Atlas Lung Adenocarcinoma, and TCGA lung squamous cell carcinoma) were developed using the SurvMicro tool. The potential of the miRNA signature established was validated by quantitative real-time PCR analysis of clinical NSCLC samples, and its prognostic power evaluated using the survivalROC method.

RESULTS

We developed two miRNA signatures with prognostic significance for NSCLC, comprising 12- and 7-miRNAs. The 7-miRNA signature (miR-148b, miR-365, miR-32, miR-375, miR-21, miR-125b, and miR-155) was a subset of a 12-miRNA set that retained prognostic power across NSCLC cohorts. Compared with previously established miRNA signatures, our 7-miRNA signature has similar potential, while comprising fewer miRNA components. The prognostic ability of the 7-miRNA signature was validated experimentally in an independent NSCLC cohort using real-time PCR (HR=3.4847, 95% CI=1.3693-8.8680, =0.0092), and this signature, combined with tumor pathological stage, had superior prognostic ability compared with tumor stage alone.

CONCLUSION

Our data indicate that the established 7-miRNA signature is simple, robust, and may have greater clinical prognostic utility for patients with NSCLC.

摘要

目的

一系列微小RNA(miRNA)已被确定与非小细胞肺癌(NSCLC)患者的生存相关。本研究的目的是探讨这些经过实验验证的单个miRNA生物标志物的组合是否可用于进一步提高其在NSCLC中的预后预测能力。

患者与方法

基于先前验证的NSCLC预后miRNA,使用SurvMicro工具在四个NSCLC miRNA表达数据集(GSE13937、GSE16025、癌症基因组图谱肺腺癌和TCGA肺鳞状细胞癌)中开发能够区分临床结局较差的高危亚组的基因特征。通过对临床NSCLC样本进行定量实时PCR分析来验证所建立的miRNA特征的潜力,并使用survivalROC方法评估其预后预测能力。

结果

我们开发了两种对NSCLC具有预后意义的miRNA特征,分别由12个和7个miRNA组成。7-miRNA特征(miR-148b、miR-365、miR-32、miR-375、miR-21、miR-125b和miR-155)是12-miRNA集合的一个子集,在NSCLC队列中保留了预后预测能力。与先前建立的miRNA特征相比,我们的7-miRNA特征具有相似的潜力,但包含的miRNA成分更少。通过实时PCR在一个独立的NSCLC队列中对7-miRNA特征的预后能力进行了实验验证(HR=3.4847,95%CI=1.3693-8.8680,P=0.0092),并且该特征与肿瘤病理分期相结合,与单独的肿瘤分期相比具有更好的预后预测能力。

结论

我们的数据表明,所建立的7-miRNA特征简单、可靠,可能对NSCLC患者具有更大的临床预后应用价值。

https://cdn.ncbi.nlm.nih.gov/pmc/blobs/35e1/6140736/6cfa74cb0caf/cmar-10-3463Fig1.jpg

文献检索

告别复杂PubMed语法,用中文像聊天一样搜索,搜遍4000万医学文献。AI智能推荐,让科研检索更轻松。

立即免费搜索

文件翻译

保留排版,准确专业,支持PDF/Word/PPT等文件格式,支持 12+语言互译。

免费翻译文档

深度研究

AI帮你快速写综述,25分钟生成高质量综述,智能提取关键信息,辅助科研写作。

立即免费体验