Suppr超能文献

The effect of pulsed current on the shear deformation behavior of Ti-6Al-4V alloy.

作者信息

Zhao Zhiyong, Wang Guofeng, Hou Hongliang, Zhang Yanling, Wang Yaoqi

机构信息

National Key Laboratory for Precision Hot Processing of Metals, Harbin Institute of Technology, Harbin, 150001, China.

Beijing Aeronautical Manufacturing Technology Research Institute, Beijing, 100024, China.

出版信息

Sci Rep. 2018 Oct 3;8(1):14748. doi: 10.1038/s41598-018-32857-6.

Abstract

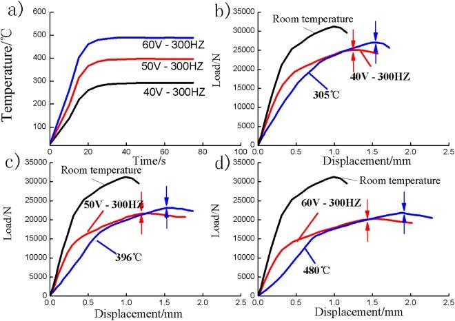
Pulse current-assisted forming is a new technology to improve the plastic deformability of titanium alloy. In this work, Shearing tests of Ti-6Al-4V alloy were conducted using hat-shaped specimens under pulsed current (electroplastic shearing) and constant temperature (isothermal shearing). The actual deformation in shear zone of electroplastic shearing was larger than that of isothermal shearing. The shear load is also decreased by the pulsed current. Microstructure variation in the shear zone was investigated by scanning electron microscopy. An evident straight shear band was observed in the electroplastic shearing specimens. The deformation model of shear zone was established. Intracrystalline deformation was markedly easier for the grains with the pulsed current and induced larger deformation of the grains along the shear direction. Microcracks were observed in the shear zone of isothermal shearing, but none were found in the shear zone of electroplastic shearing. Evident crack healing was found in the crack tip of the shear zone of electroplastic shearing.

摘要
https://cdn.ncbi.nlm.nih.gov/pmc/blobs/3bd1/6170433/308bc78577c6/41598_2018_32857_Fig1_HTML.jpg

文献AI研究员

20分钟写一篇综述,助力文献阅读效率提升50倍。

立即体验

用中文搜PubMed

大模型驱动的PubMed中文搜索引擎

马上搜索

文档翻译

学术文献翻译模型,支持多种主流文档格式。

立即体验