• 文献检索
  • 文档翻译
  • 深度研究
  • 学术资讯
  • Suppr Zotero 插件Zotero 插件
  • 邀请有礼
  • 套餐&价格
  • 历史记录
应用&插件
Suppr Zotero 插件Zotero 插件浏览器插件Mac 客户端Windows 客户端微信小程序
定价
高级版会员购买积分包购买API积分包
服务
文献检索文档翻译深度研究API 文档MCP 服务
关于我们
关于 Suppr公司介绍联系我们用户协议隐私条款
关注我们

Suppr 超能文献

核心技术专利:CN118964589B侵权必究
粤ICP备2023148730 号-1Suppr @ 2026

文献检索

告别复杂PubMed语法,用中文像聊天一样搜索,搜遍4000万医学文献。AI智能推荐,让科研检索更轻松。

立即免费搜索

文件翻译

保留排版,准确专业,支持PDF/Word/PPT等文件格式,支持 12+语言互译。

免费翻译文档

深度研究

AI帮你快速写综述,25分钟生成高质量综述,智能提取关键信息,辅助科研写作。

立即免费体验

乳腺癌风险多态性与早期乳腺癌生存的亚型特异性关联。

Subtype-specific associations between breast cancer risk polymorphisms and the survival of early-stage breast cancer.

机构信息

Breast Surgery Ward, Department of General Surgery, Fujian Medical University Union Hospital, Fuzhou, 350001, Fujian Province, China.

Nosocomial Infection Control Branch, Fujian Medical University Union Hospital, Fuzhou, 350001, Fujian Province, China.

出版信息

J Transl Med. 2018 Oct 1;16(1):270. doi: 10.1186/s12967-018-1634-0.

DOI:10.1186/s12967-018-1634-0
PMID:30285756
原文链接:https://pmc.ncbi.nlm.nih.gov/articles/PMC6167771/
Abstract

BACKGROUND

Limited evidence suggests that inherited predisposing risk variants might affect the disease outcome. In this study, we analyzed the effect of genome-wide association studies-identified breast cancer-risk single nucleotide polymorphisms on survival of early-stage breast cancer patients in a Chinese population.

METHODS

This retrospective study investigated the relationship between 21 GWAS-identified breast cancer-risk single nucleotide polymorphisms and the outcome of 1177 early stage breast cancer patients with a long median follow-up time of 174 months. Cox proportional hazards regression models were used to estimate the hazard ratios and their 95% confidence intervals. Primary endpoints were breast cancer special survival and overall survival while secondary endpoints were invasive disease free survival and distant disease free survival.

RESULTS

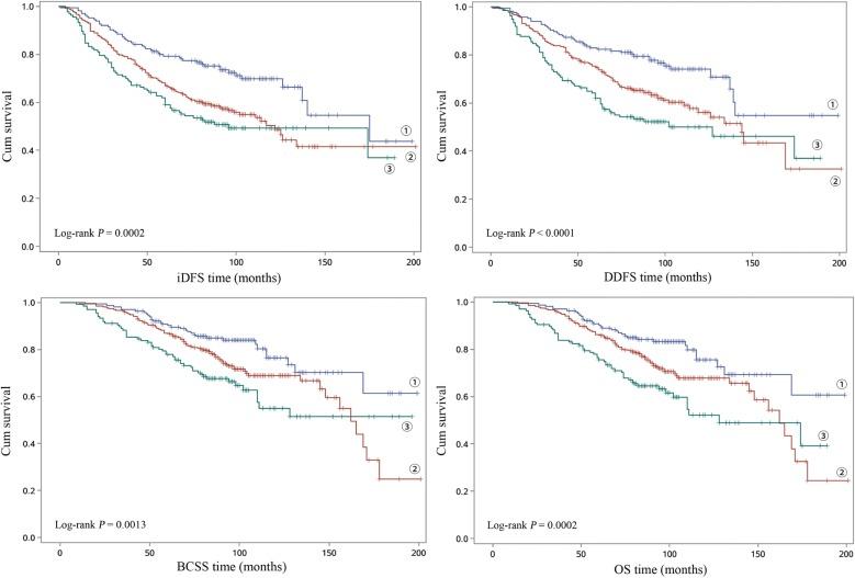
Multivariate survival analysis showed only the rs2046210 GA genotype significantly decreased the risk of recurrence and death for early stage breast cancer. After grouping breast cancer subtypes, significantly reduced survival was associated with the variant alleles of rs9485372 for luminal A and rs4415084 for triple negative breast cancer. Importantly, all three single-nucleotide polymorphisms, rs889312, rs4951011 and rs9485372 had remarkable effects on survival of luminal B EBC, either individually or synergistically. Furthermore, statistically significant multiplicative interactions were found between rs4415084 and age at diagnosis and between rs3803662 and tumor grade.

CONCLUSIONS

Our results demonstrate that breast cancer risk susceptibility loci identified by GWAS may influence the outcome of early stage breast cancer patients' depending on intrinsic tumor subtypes in Chinese women.

摘要

背景

有限的证据表明,遗传易感性风险变异可能会影响疾病的结局。在这项研究中,我们分析了全基因组关联研究确定的乳腺癌风险单核苷酸多态性对中国人群早期乳腺癌患者生存的影响。

方法

本回顾性研究调查了 21 个全基因组关联研究确定的乳腺癌风险单核苷酸多态性与 1177 例早期乳腺癌患者结局之间的关系,这些患者的中位随访时间长达 174 个月。Cox 比例风险回归模型用于估计风险比及其 95%置信区间。主要终点是乳腺癌特殊生存和总生存,次要终点是无侵袭性疾病生存和无远处疾病生存。

结果

多变量生存分析表明,只有 rs2046210GA 基因型显著降低了早期乳腺癌的复发和死亡风险。在分组乳腺癌亚型后,rs9485372 对 luminal A 和 rs4415084 对三阴性乳腺癌的变异等位基因与生存率显著降低相关。重要的是,所有三个单核苷酸多态性(rs889312、rs4951011 和 rs9485372)对 luminal B EBC 的生存均有显著影响,无论是单独还是协同作用。此外,还发现 rs4415084 与诊断时年龄之间以及 rs3803662 与肿瘤分级之间存在显著的乘法交互作用。

结论

我们的研究结果表明,全基因组关联研究确定的乳腺癌风险易感性位点可能会影响中国女性早期乳腺癌患者的结局,这取决于内在的肿瘤亚型。

https://cdn.ncbi.nlm.nih.gov/pmc/blobs/2c79/6167771/ea38afe67a8c/12967_2018_1634_Fig1_HTML.jpg
https://cdn.ncbi.nlm.nih.gov/pmc/blobs/2c79/6167771/ea38afe67a8c/12967_2018_1634_Fig1_HTML.jpg
https://cdn.ncbi.nlm.nih.gov/pmc/blobs/2c79/6167771/ea38afe67a8c/12967_2018_1634_Fig1_HTML.jpg

相似文献

1
Subtype-specific associations between breast cancer risk polymorphisms and the survival of early-stage breast cancer.乳腺癌风险多态性与早期乳腺癌生存的亚型特异性关联。
J Transl Med. 2018 Oct 1;16(1):270. doi: 10.1186/s12967-018-1634-0.
2
The relationship between eight GWAS-identified single-nucleotide polymorphisms and primary breast cancer outcomes.八个全基因组关联研究鉴定的单核苷酸多态性与原发性乳腺癌结局的关系。
Oncologist. 2013;18(5):493-500. doi: 10.1634/theoncologist.2012-0419. Epub 2013 May 1.
3
Common genetic variants associated with breast cancer in Korean women and differential susceptibility according to intrinsic subtype.与韩国女性乳腺癌相关的常见遗传变异及其根据内在亚型的差异易感性。
Cancer Epidemiol Biomarkers Prev. 2011 May;20(5):793-8. doi: 10.1158/1055-9965.EPI-10-1282. Epub 2011 Mar 17.
4
Relationship between five GWAS-identified single nucleotide polymorphisms and female breast cancer in the Chinese Han population.中国汉族人群中5个全基因组关联研究鉴定的单核苷酸多态性与女性乳腺癌的关系。
Tumour Biol. 2016 Jul;37(7):9739-44. doi: 10.1007/s13277-016-4795-6. Epub 2016 Jan 23.
5
The prognostic value of IL10 and TNF alpha functional polymorphisms in premenopausal early-stage breast cancer patients.白细胞介素10和肿瘤坏死因子α功能多态性在绝经前早期乳腺癌患者中的预后价值。
BMC Genet. 2015 Jun 26;16:70. doi: 10.1186/s12863-015-0234-8.
6
Interactions between genetic variants and breast cancer risk factors in the breast and prostate cancer cohort consortium.遗传变异与乳腺癌和前列腺癌队列联盟中乳腺癌风险因素的相互作用。
J Natl Cancer Inst. 2011 Aug 17;103(16):1252-63. doi: 10.1093/jnci/djr265. Epub 2011 Jul 26.
7
Relationships between SNPs and prognosis of breast cancer and pathogenic mechanism.单核苷酸多态性与乳腺癌预后的关系及发病机制。
Mol Genet Genomic Med. 2019 Sep;7(9):e871. doi: 10.1002/mgg3.871. Epub 2019 Jul 17.
8
Assessment of the prognostic role of a 94-single nucleotide polymorphisms risk score in early breast cancer in the SIGNAL/PHARE prospective cohort: no correlation with clinico-pathological characteristics and outcomes.评估 94 个单核苷酸多态性风险评分在 SIGNAL/PHARE 前瞻性队列中早期乳腺癌的预后作用:与临床病理特征和结局无关。
Breast Cancer Res. 2017 Aug 22;19(1):98. doi: 10.1186/s13058-017-0888-4.
9
Polymorphisms of ESR1, UGT1A1, HCN1, MAP3K1 and CYP2B6 are associated with the prognosis of hormone receptor-positive early breast cancer.雌激素受体1(ESR1)、尿苷二磷酸葡萄糖醛酸基转移酶1A1(UGT1A1)、超极化激活环核苷酸门控通道1(HCN1)、丝裂原活化蛋白激酶激酶激酶1(MAP3K1)和细胞色素P450 2B6(CYP2B6)的多态性与激素受体阳性早期乳腺癌的预后相关。
Oncotarget. 2017 Mar 28;8(13):20925-20938. doi: 10.18632/oncotarget.14995.
10
Two polymorphisms, rs2046210 and rs3803662, are associated with breast cancer risk in a Vietnamese case-control cohort.在一个越南病例对照队列中,两种多态性,即rs2046210和rs3803662,与乳腺癌风险相关。
Genes Genet Syst. 2018 Oct 30;93(3):101-109. doi: 10.1266/ggs.17-00053. Epub 2018 Aug 6.

引用本文的文献

1
Association of the Estrogen Receptor 1 Polymorphisms rs2046210 and rs9383590 with the Risk, Age at Onset and Prognosis of Breast Cancer.雌激素受体 1 多态性 rs2046210 和 rs9383590 与乳腺癌风险、发病年龄和预后的关联。
Cells. 2023 Feb 4;12(4):515. doi: 10.3390/cells12040515.
2
MAP3K1 rs889312 polymorphism and cancer prognosis: A systematic review and meta-analysis.MAP3K1 rs889312 多态性与癌症预后:系统评价和荟萃分析。
Cancer Rep (Hoboken). 2023 Jan;6(1):e1773. doi: 10.1002/cnr2.1773. Epub 2022 Dec 22.

本文引用的文献

1
Identification of Novel Breast Cancer Risk Loci.鉴定新的乳腺癌风险基因座
Cancer Res. 2017 Oct 1;77(19):5428-5437. doi: 10.1158/0008-5472.CAN-17-0992. Epub 2017 Aug 3.
2
Association Study Confirmed Three Breast Cancer-Specific Molecular Subtype-Associated Susceptibility Loci in Chinese Han Women.关联研究在中国汉族女性中证实了三个与乳腺癌特定分子亚型相关的易感基因座。
Oncologist. 2017 Aug;22(8):890-894. doi: 10.1634/theoncologist.2016-0423. Epub 2017 Apr 13.
3
Breast cancer risk-associated variants at 6q25.1 influence risk of hepatocellular carcinoma in a Chinese population.
位于6q25.1的乳腺癌风险相关变异影响中国人群肝细胞癌的发病风险。
Carcinogenesis. 2017 Apr 1;38(4):447-454. doi: 10.1093/carcin/bgx024.
4
Polymorphisms of ESR1, UGT1A1, HCN1, MAP3K1 and CYP2B6 are associated with the prognosis of hormone receptor-positive early breast cancer.雌激素受体1(ESR1)、尿苷二磷酸葡萄糖醛酸基转移酶1A1(UGT1A1)、超极化激活环核苷酸门控通道1(HCN1)、丝裂原活化蛋白激酶激酶激酶1(MAP3K1)和细胞色素P450 2B6(CYP2B6)的多态性与激素受体阳性早期乳腺癌的预后相关。
Oncotarget. 2017 Mar 28;8(13):20925-20938. doi: 10.18632/oncotarget.14995.
5
The precision relationships between eight GWAS-identified genetic variants and breast cancer in a Chinese population.中国人群中八个全基因组关联研究(GWAS)鉴定的基因变异与乳腺癌之间的精确关系。
Oncotarget. 2016 Nov 15;7(46):75457-75467. doi: 10.18632/oncotarget.12255.
6
Cancer statistics in China, 2015.《中国癌症统计数据 2015》
CA Cancer J Clin. 2016 Mar-Apr;66(2):115-32. doi: 10.3322/caac.21338. Epub 2016 Jan 25.
7
Association between GWAS-Derived rs966423 Genetic Variant and Overall Mortality in Patients with Differentiated Thyroid Cancer.全基因组关联研究衍生的rs966423基因变异与分化型甲状腺癌患者总死亡率之间的关联
Clin Cancer Res. 2016 Mar 1;22(5):1111-9. doi: 10.1158/1078-0432.CCR-15-1746. Epub 2015 Oct 21.
8
Guidelines for time-to-event end point definitions in breast cancer trials: results of the DATECAN initiative (Definition for the Assessment of Time-to-event Endpoints in CANcer trials).乳腺癌试验中事件发生时间终点定义指南:DATECAN倡议(癌症试验中事件发生时间终点评估定义)的结果
Ann Oncol. 2015 Dec;26(12):2505-6. doi: 10.1093/annonc/mdv478. Epub 2015 Oct 13.
9
Transcriptional modulator ZBED6 affects cell cycle and growth of human colorectal cancer cells.转录调节因子ZBED6影响人结肠癌细胞的细胞周期和生长。
Proc Natl Acad Sci U S A. 2015 Jun 23;112(25):7743-8. doi: 10.1073/pnas.1509193112. Epub 2015 Jun 8.
10
Common germline polymorphisms associated with breast cancer-specific survival.与乳腺癌特异性生存相关的常见种系多态性。
Breast Cancer Res. 2015 Apr 22;17(1):58. doi: 10.1186/s13058-015-0570-7.