Suppr超能文献

镧基锑化物和镧基铋化物中的体带反转和表面狄拉克锥:一种新型拓扑异质结构的预测

Bulk band inversion and surface Dirac cones in LaSb and LaBi: Prediction of a new topological heterostructure.

作者信息

Dey Urmimala, Chakraborty Monodeep, Taraphder A, Tewari Sumanta

机构信息

Centre for Theoretical Studies, Indian Institute of Technology Kharagpur, Kharagpur, 721302, India.

Department of Physics, Indian Institute of Technology Kharagpur, Kharagpur, 721302, India.

出版信息

Sci Rep. 2018 Oct 5;8(1):14867. doi: 10.1038/s41598-018-33273-6.

Abstract

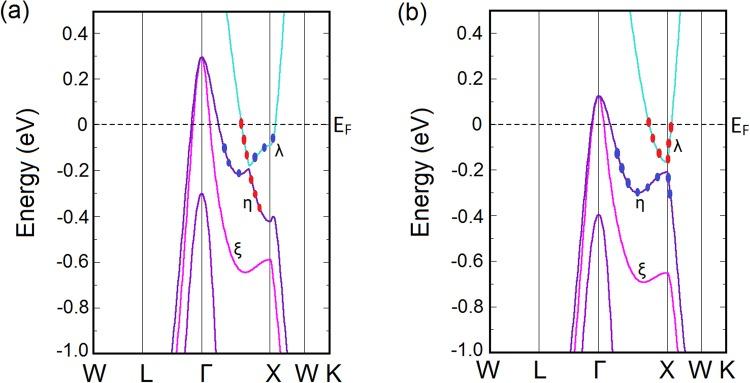
We perform ab initio investigations of the bulk and surface band structures of LaSb and LaBi and resolve the existing disagreements about the topological property of LaSb, considering LaBi as a reference. We examine the bulk band structure for band inversion, along with the stability of surface Dirac cones (if any) to time-reversal-preserving perturbations, as a strong diagnostic test for determining the topological character of LaSb, LaBi and LaSb-LaBi multilayer. A detailed ab initio investigation of a multilayer consisting of alternating unit cells of LaSb and LaBi shows the presence of band inversion in the bulk and a massless Dirac cone on the (001) surface, which remains stable under the influence of time-reversal-preserving perturbations, thus confirming the topologically non-trivial nature of the multilayer in which the electronic properties can be tailored as per requirement. A detailed [Formula: see text] invariant calculation is performed to arrive at a holistic conclusion.

摘要

我们对LaSb和LaBi的体带结构和表面带结构进行了从头算研究,并以LaBi为参考,解决了关于LaSb拓扑性质的现有分歧。我们研究了体带结构的能带反转,以及表面狄拉克锥(如果有的话)对保持时间反演对称性微扰的稳定性,以此作为确定LaSb、LaBi和LaSb-LaBi多层膜拓扑特征的有力诊断测试。对由LaSb和LaBi交替晶胞组成的多层膜进行的详细从头算研究表明,体中存在能带反转,且在(001)表面存在无质量狄拉克锥,该狄拉克锥在保持时间反演对称性微扰的影响下保持稳定,从而证实了该多层膜的拓扑非平凡性质,其电子性质可根据需要进行定制。进行了详细的[公式:见原文]不变量计算,以得出全面的结论。

https://cdn.ncbi.nlm.nih.gov/pmc/blobs/6136/6173707/505373061c28/41598_2018_33273_Fig1_HTML.jpg

文献AI研究员

20分钟写一篇综述,助力文献阅读效率提升50倍。

立即体验

用中文搜PubMed

大模型驱动的PubMed中文搜索引擎

马上搜索

文档翻译

学术文献翻译模型,支持多种主流文档格式。

立即体验